【药物名称】Panomifene, EGIS-5650, GYKI-13504
化学结构式(Chemical Structure):
参考文献No.46019
标题:1,1,2-Triphenylpropane and -propene derivatives
作者:Abraham, G.; Horv醫h, T.; Toldy, L.; Borvendeg, J.; Cs醤yl, E.; Kiss, E.; Szente, I.; Tory, K. (Egis Pharmaceuticals Ltd.)
来源:AT 368989; BE 0884716; DD 152536; ES 494286; GB 2058061; GR 69821; HU 18253
合成路线图解说明:

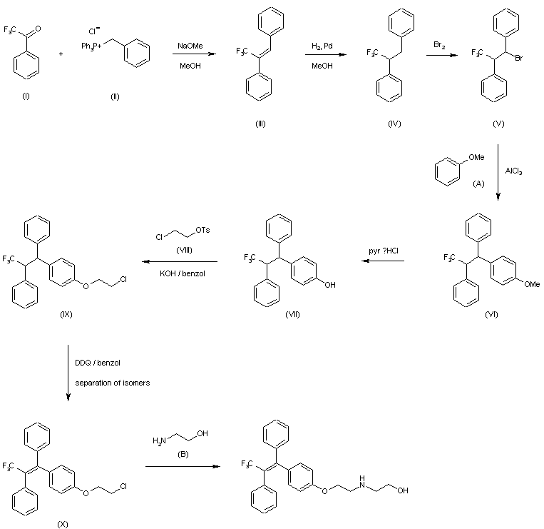
The synthesis of GYKI-13504 is as follows: Trifluoroacetophenone (I) is reacted with triphenylbenzyl phosphonium chloride (II) in the presence of sodium methylate and this reaction yields stilbene (III). Stilbene (III) is then hydrogenized in the presence of charcoal palladium catalyzer and the yielded propane derivative (IV) is brominated with 1,2-dibromoethane. The brominated compound (V) is reacted with anizole (A) according to the Friedel Crafts' reaction. The yield (VI) is treated with pyridine hydrochloride and the phenol derivative (VII) is reacted with 2-chloroethanol tosylate (VIII) in the presence of potassium hydroxide. The chloroethoxy (IX) is treated with 2,3-dichloro-5,6-dicyano-1,4-benzoquinone (DDQ) and the (E)-isomer (X) is obtained with fractionated crystallization. This latter product is reacted with 2-aminoethanol (B) to obtain the end product GYKI-13504.

参考文献No.65705
标题:GYKI-13504
作者:Borvend間, J.
来源:Drugs Fut 1985,10(5),395
合成路线图解说明:

The synthesis of GYKI-13504 is as follows: Trifluoroacetophenone (I) is reacted with triphenylbenzyl phosphonium chloride (II) in the presence of sodium methylate and this reaction yields stilbene (III). Stilbene (III) is then hydrogenized in the presence of charcoal palladium catalyzer and the yielded propane derivative (IV) is brominated with 1,2-dibromoethane. The brominated compound (V) is reacted with anizole (A) according to the Friedel Crafts' reaction. The yield (VI) is treated with pyridine hydrochloride and the phenol derivative (VII) is reacted with 2-chloroethanol tosylate (VIII) in the presence of potassium hydroxide. The chloroethoxy (IX) is treated with 2,3-dichloro-5,6-dicyano-1,4-benzoquinone (DDQ) and the (E)-isomer (X) is obtained with fractionated crystallization. This latter product is reacted with 2-aminoethanol (B) to obtain the end product GYKI-13504.

Drug Information Express,Drug R&D,Chemical Database,Patent Search.
Copyright © 2006-2026 Drug Future. All rights reserved.Contact Us