【药物名称】Hoe-263
化学结构式(Chemical Structure):
参考文献No.46020
标题:m-Methoxy-alpha-methyl-phenethyl-amino-diphenylmethyl ethers
作者:Lindner, E.; Ehrhart, G.; Ott, H. (Aventis Pharma AG)
来源:US 3565955
合成路线图解说明:

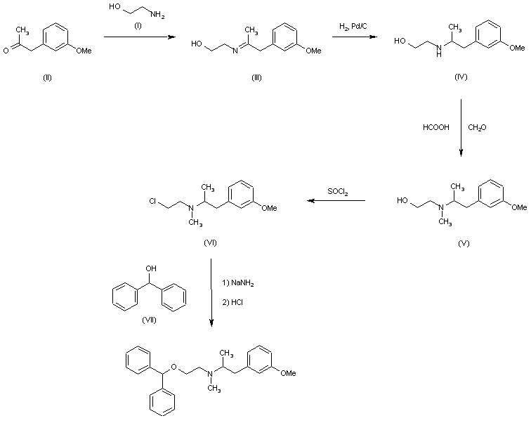
The reaction of ethanolimine (I) with m-methoxyphenylacetone (II) gives the corresponding Schiff base (III), which is reduced with H2 over Pd/C to the corresponding secondary amine (IV). Methylation of (IV) with HCHO-HCOOH yields 1-(m-methoxyphenyl)-2-(N-(2-hydroxyethyl)-N-methylaminoipropane (V), which is treated with SOCl2 to afford the 2-chloroethyl derivative (VI). Finally, this compound is condensed with benzhydrol (VII) by means of NaNH2 in refluxing benzene, and treated with HCl.

参考文献No.67206
标题:HOE-263
作者:Mannhold, R.
来源:Drugs Fut 1985,10(6),458
合成路线图解说明:

The reaction of ethanolimine (I) with m-methoxyphenylacetone (II) gives the corresponding Schiff base (III), which is reduced with H2 over Pd/C to the corresponding secondary amine (IV). Methylation of (IV) with HCHO-HCOOH yields 1-(m-methoxyphenyl)-2-(N-(2-hydroxyethyl)-N-methylaminoipropane (V), which is treated with SOCl2 to afford the 2-chloroethyl derivative (VI). Finally, this compound is condensed with benzhydrol (VII) by means of NaNH2 in refluxing benzene, and treated with HCl.

Drug Information Express,Drug R&D,Chemical Database,Patent Search.
Copyright © 2006-2026 Drug Future. All rights reserved.Contact Us