【药物名称】Itraconazole, R-51211, Spherazole, Hyphanox, Canadiol, Orungal, Sempera, Itrizole, Sporanox
化学结构式(Chemical Structure):
参考文献No.49470
标题:Itraconazole
作者:Casta馿r, J.; Serradell, M.N.; Fromtling, R.A.
来源:Drugs Fut 1985,10(4),291
合成路线图解说明:

The condensation of 2-(2,4-dichlorophenyl)-2-(1H-1,2,4-triazol-1-ylmethyl)-1,3-dioxolan-4-methanol methanesulfonate (I) with 1-(4-hydroxyphenyl)-4-acetylpiperazine (II) by means of NaH in DMSO gives the corresponding ether (III), which is desacetylated by means of NaOH in refluxing butanol to the substituted piperazine (IV). The condensation of (IV) with 4-chloronitrobenzene (V) by means of K2CO3 in hot DMSO yields the nitro compound (VI), which is reduced with H2 over Pt/C in ethylene glycol affording the substituted aniline (VII). The reaction of (VII) with phenyl chloroformate (VIII) by means of pyridine in CHCl3 gives the phenylcarbamate (IX).

合成路线图解说明:

The reaction of (IX) with hydrazine is converted to the hydrazinecarboxamide (X). The cyclization of (X) with formamidine (XI) in hot DMF yields the substituted triazolone (XII), which is finally alkylated with 2-bromobutane (XIII) and KOH in DMSO.

参考文献No.607699
标题:J. Antimycotic azoles. 7. Synthesis and antifungal properties of a series of novel triazol-3-ones
作者:Heeres, J.; Backx, L.J.J.; Van Cutsem, J.
来源:J Med Chem 1984,27(7),894-900
合成路线图解说明:

The condensation of 2-(2,4-dichlorophenyl)-2-(1H-1,2,4-triazol-1-ylmethyl)-1,3-dioxolan-4-methanol methanesulfonate (I) with 1-(4-hydroxyphenyl)-4-acetylpiperazine (II) by means of NaH in DMSO gives the corresponding ether (III), which is desacetylated by means of NaOH in refluxing butanol to the substituted piperazine (IV). The condensation of (IV) with 4-chloronitrobenzene (V) by means of K2CO3 in hot DMSO yields the nitro compound (VI), which is reduced with H2 over Pt/C in ethylene glycol affording the substituted aniline (VII). The reaction of (VII) with phenyl chloroformate (VIII) by means of pyridine in CHCl3 gives the phenylcarbamate (IX).

合成路线图解说明:

The reaction of (IX) with hydrazine is converted to the hydrazinecarboxamide (X). The cyclization of (X) with formamidine (XI) in hot DMF yields the substituted triazolone (XII), which is finally alkylated with 2-bromobutane (XIII) and KOH in DMSO.

合成路线图解说明:

SCH 51048 is synthesized by condensation of 4-[4-(4-hydroxyphenyl)piperazin-1-yl]phenyl]-2-(1-ethylpropyl)-3,4-dihydro-2H-1,2,4-triazol-3-one (I) with (-)-(5R-cis)-5-(2,4-difluorophenyl)-5-(1,2,4-triazol-1-ylmethyl) tetrahydrofuran-3-methanol tosylate (II) by means of NaH in DMSO.

合成路线图解说明:

The intermediate (I) can be obtained as follows: 1) The condensation of 1-(4-methoxyphenyl)piperazine (III) with chloronitrobenzene (IV) by means of K2CO3 in DMSO gives 1-(4-methoxyphenyl)-4-(4-nitrophenyl)piperazine (V), which is reduced with H2 over Pt/C to the corresponding amine (VI). The reaction of (VI) with phenyl chloroformate and pyridine in CHCl3 affords the corresponding carbamate (VII), which is treated with hydrazine in dioxane/water yielding the semicarbazide (VIII). The cyclization of (VIII) with formamidine and sodium acetate in butanol gives 4-[4-[4-(4-methoxyphenyl)piperazin-1-yl]phenyl]-3,4-dihydro-2H-1,2,4-triazol-3-one (IX) (2), which is alkylated with 1-ethylpropyl tosylate (X) by means of KOH in DMSO yielding the corresponding 2-alkyl compound (XI). Finally, this compound is demethylated to (I) by refluxing in 48% HBr.

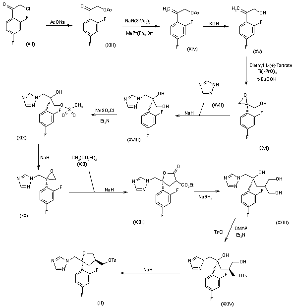
合成路线图解说明:

The intermediate (II) can be obtained as follows: 2) The reaction of 2,4-difluorophenacyl chloride (XII) with sodium acetate and NaI in DMF gives the acetoxy derivative (XIII), which is treated with methyltriphenylphosphonium bromide and sodium bis(trimethylsilyl)amide in THF yielding 2-(2,4-difluorophenyl)-2-propen-1-ol acetate (XIV). The saponification of (XIV) with KOH in water affords the unsaturated alcohol (XV), which is regioselectively epoxidized with titanium tetraisopropoxide, tert-butyl hydroperoxide and L-(+)-tartaric acid diethyl ester giving (S)-(-)-[2-(2,4-difluorophenyl)oxiran-2-yl]methanol (XVI). The condensation of epoxide (XVI) with 1,2,4-triazole (XVII) by means of NaH in DMF yields (R)-(-)-2-(2,4-difluorophenyl)-3-(1,2,4-triazol-1-yl)propane-1,2-diol (XVIII), which is treated with methanesulfonyl chloride and triethylamine affording the corresponding mesyl ester (XIX). Cyclization of (XIX) with NaOH in DMF affords the corresponding epoxide (XX), which is condensed with diethyl malonate (XXI) by means of NaH in DMSO giving 5(R)-(2,4-difluorophenyl)-2-oxo-5-(1,2,4-triazol-1-ylmethyl) tetrahydrofuran-3-carboxylic acid ethyl ester (XXII). The reduction of (XXII) with NaBH4 in ethanol yields the 4(R)-(2,4-difluorophenyl)-2-(hydroxymethyl)-5-(1,2,4-triazol-1-yl)penta n-1,4-diol (XXIII), which is selectively esterified with p-toluenesulfonyl chloride and dimethylaminopyridine/triethylamine to primary monosulfonate (XXIV). Finally, this compound is cyclized to (II) by means of NaH in refluxing toluene.

Drug Information Express,Drug R&D,Chemical Database,Patent Search.
Copyright © 2006-2026 Drug Future. All rights reserved.Contact Us