【药物名称】Tomelukast, LY-171883
化学结构式(Chemical Structure):
参考文献No.9141
标题:Leukotriene antagonists
作者:Marshall, W.S.; Verge, J.P. (Eli Lilly and Company)
来源:EP 0108592
合成路线图解说明:

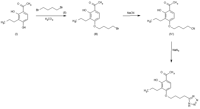
The condensation of 2,4-dihydroxy-3-prop ylacetophenone (I) with 1 4-dibromobutane (II) by means of K2CO3 in refluxing acetone gives 4-(4 acetyl 3-hydroxy-2-propylphenoxy)butyl bromide (III), which is treated with NaCN in hot DMF to yield 5-(4 acetyl-3-hydroxy-2-propylphenoxy)pen tanenitrile (IV). Finally, this compound is cyclized with sodium azide by means of NH4Cl in DMF at 125 C.

参考文献No.70125
标题:LY-171883
作者:Chu, S.S.
来源:Drugs Fut 1985,10(8),632
合成路线图解说明:

The condensation of 2,4-dihydroxy-3-prop ylacetophenone (I) with 1 4-dibromobutane (II) by means of K2CO3 in refluxing acetone gives 4-(4 acetyl 3-hydroxy-2-propylphenoxy)butyl bromide (III), which is treated with NaCN in hot DMF to yield 5-(4 acetyl-3-hydroxy-2-propylphenoxy)pen tanenitrile (IV). Finally, this compound is cyclized with sodium azide by means of NH4Cl in DMF at 125 C.

Drug Information Express,Drug R&D,Chemical Database,Patent Search.
Copyright © 2006-2026 Drug Future. All rights reserved.Contact Us