【药物名称】Isomazole hydrochloride, BW-A746C(free base), EMD-41064, BW-746, LY-175326
化学结构式(Chemical Structure):
参考文献No.46011
标题:Pyridine compounds
作者:Robertson, D.W.; Hayes, J.S. (Eli Lilly and Company)
来源:DD 210273; EP 0093593; GB 2119377; JP 58203991
合成路线图解说明:

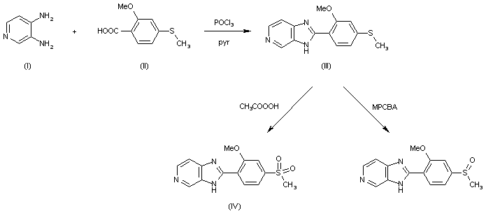
3,4-Diaminopyridine (I) is condensed with 2-methoxy-4-methylthiobenzoic acid (II) in the presence of phosphorus oxychloride (with or without pyridine cosolvent) to provide the sulfide LY-137150 (III), which is selectively oxidized to LY-175326 by low-temperature reaction with 3-chloroperoxybenzoic acid. The sulfone LY-16325 (IV) is obtained by oxidation of (III) with 40% peracetic acid in methanol.

参考文献No.65136
标题:LY-175326
作者:Hayes, J.S.; Robertson, D.W.
来源:Drugs Fut 1985,10(4),295
合成路线图解说明:

3,4-Diaminopyridine (I) is condensed with 2-methoxy-4-methylthiobenzoic acid (II) in the presence of phosphorus oxychloride (with or without pyridine cosolvent) to provide the sulfide LY-137150 (III), which is selectively oxidized to LY-175326 by low-temperature reaction with 3-chloroperoxybenzoic acid. The sulfone LY-16325 (IV) is obtained by oxidation of (III) with 40% peracetic acid in methanol.

参考文献No.700586
标题:Structure-activity relationship of arylimidazopyridine cradiotonics: Discovery and inotropic activity of 2-[2-methoxy-4-(methylsulfinyl)phenyl]-1H-imidazo[4,5-c]pyridine
作者:Robertson, D.W.; Beedle, E.E.; Pollock, G.D.; Hayes, J.S.; Wilson, H.; Krushinski, J.H.; Wyss, V.L.
来源:J Med Chem 1985,28(6),717-27
合成路线图解说明:

3,4-Diaminopyridine (I) is condensed with 2-methoxy-4-methylthiobenzoic acid (II) in the presence of phosphorus oxychloride (with or without pyridine cosolvent) to provide the sulfide LY-137150 (III), which is selectively oxidized to LY-175326 by low-temperature reaction with 3-chloroperoxybenzoic acid. The sulfone LY-16325 (IV) is obtained by oxidation of (III) with 40% peracetic acid in methanol.

Drug Information Express,Drug R&D,Chemical Database,Patent Search.
Copyright © 2006-2026 Drug Future. All rights reserved.Contact Us