【药物名称】Mopidralazine, MDL-899
化学结构式(Chemical Structure):
参考文献No.70117
标题:Mopidralazine
作者:Koch, H.
来源:Drugs Fut 1985,10(8),634
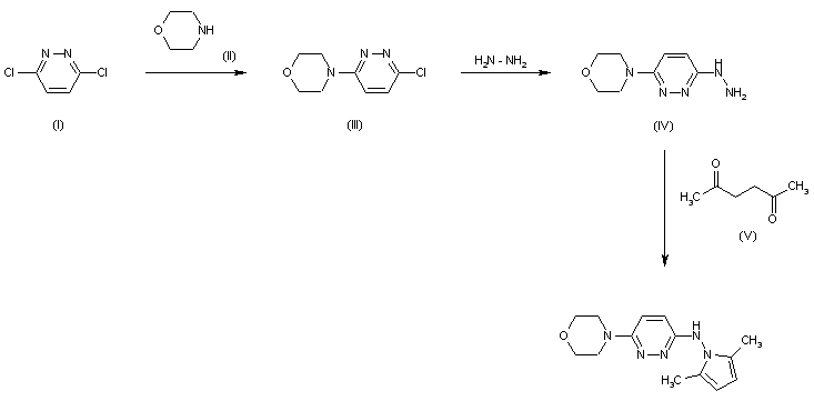
合成路线图解说明:

The starting compound is 3,6-dichloropyridazine (I), which is reacted with morpholine (II) in a suitable solvent to give 3-morpholino-6-chloropyridazine (III). This, upon reaction with hydrazine hydrate as solvent, gives the hydrazine derivative (IV), which by reaction with acetonylacetone (V) in acetic acid yields directly the title compound. [14C]-Labeled compound is synthesized by a microscale procedure with 45% chemical yield and 98% radiochemical purity.

参考文献No.556259
标题:Pharmacokinetics of a new antihypertensive pyrrolyl pyridazinamine (MDL-899) in the rat and the dog
作者:Assandri, A.; et al.
来源:Arzneim-Forsch Drug Res 1985,35(2),508
合成路线图解说明:

The starting compound is 3,6-dichloropyridazine (I), which is reacted with morpholine (II) in a suitable solvent to give 3-morpholino-6-chloropyridazine (III). This, upon reaction with hydrazine hydrate as solvent, gives the hydrazine derivative (IV), which by reaction with acetonylacetone (V) in acetic acid yields directly the title compound. [14C]-Labeled compound is synthesized by a microscale procedure with 45% chemical yield and 98% radiochemical purity.

合成路线图解说明:

The cyclization of methyl acetoacetate (I), 2-methoxybenzaldehyde (II) and thiourea (III) by means of HCl in refluxing ethanol gives the tetrahydropyrimidine (IV), which is finally cyclized with chloroacetic acid (V) and benzaldehyde (VI) by means of sodium acetate in a refluxing mixture of acetic acid and acetic anhydride.

Drug Information Express,Drug R&D,Chemical Database,Patent Search.
Copyright © 2006-2026 Drug Future. All rights reserved.Contact Us