【药物名称】Ono-3144
化学结构式(Chemical Structure):
参考文献No.61910
标题:ONO-3144
作者:Hashimoto, K.
来源:Drugs Fut 1985,10(10),825
合成路线图解说明:

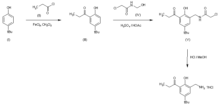
The Friedel-Kraft's condensation of 4-tert-butylphenol (I) with propionyl chloride (II) by means of FeCl3 in methylene chloride gives 2-hydroxy-5-tert-butylpropiophenone (III), which is then condensed with chloroacetylaminomethanol (IV) by means of H2SO4 in acetic acid affording 3-(chloroacetylaminomethyl)-5-tert-butyl-2-hydroxypropiophenone (V). Finally, this compound is hydrolyzed with HCl in methanol.

Drug Information Express,Drug R&D,Chemical Database,Patent Search.
Copyright © 2006-2026 Drug Future. All rights reserved.Contact Us