【药物名称】Ramipril, Hoe-498, Carasel, Altace, Delix, Ramace, Unipril, Tritace, Triatec
化学结构式(Chemical Structure):
参考文献No.46021
标题:Method for making 2-azabicyclo[3.3.0]octane-3-carboxylic acids
作者:Teetz, V.; et al. (Aventis Pharma AG)
来源:DE 3226768; EP 0079022; EP 0150263; JP 2104526; JP 2104573; JP 4217949; US 4727160; US 5053519
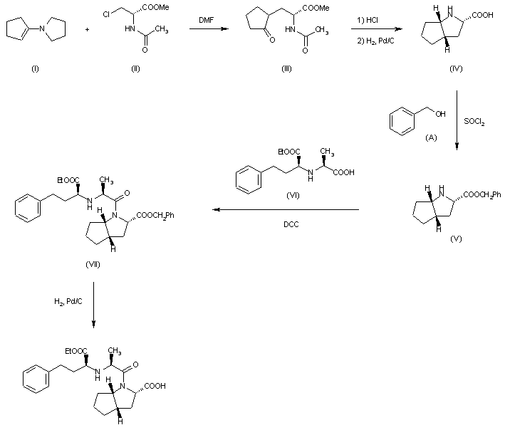
合成路线图解说明:

The reaction of 1-cyclopentenylpyrrolidino (I) with methyl 2-acetylamino-3-chloropropionate (II) in DMF gives methyl 2-acetylamino-3-(2-oxocyclopentyl)propionate (III), which is cyclized in refluxing concentrated HCl and reduced with H2 over Pd/C in acetic acid yielding cis,endo-2-azabicyclo[3.3.0]octan-3-carboxylic acid (IV). Esterification of (IV) with SOCl2 and benzyl alcohol affords the corresponding benzyl ester (V), which is condensed with N-(1-ethoxycarbonyl-3-phenylpropyl)alanine (VI) by means of dicyclohexylcarbodiirnide (DCC) in DMF affording benzyl N-(1-ethoxycarbonyl-3-phenylpropyl)alanyl-cis,endo-2-azabicyclo[3.3.0]octan-3-carboxylate (VII). Finally, this compound is debenzylated by hydrogenation with H2 over Pd/C in ethanol.

参考文献No.65700
标题:Ramipril
作者:Mannhold, R.; Serradell, M.N.; Casta馿r, J.
来源:Drugs Fut 1985,10(5),400
合成路线图解说明:

The reaction of 1-cyclopentenylpyrrolidino (I) with methyl 2-acetylamino-3-chloropropionate (II) in DMF gives methyl 2-acetylamino-3-(2-oxocyclopentyl)propionate (III), which is cyclized in refluxing concentrated HCl and reduced with H2 over Pd/C in acetic acid yielding cis,endo-2-azabicyclo[3.3.0]octan-3-carboxylic acid (IV). Esterification of (IV) with SOCl2 and benzyl alcohol affords the corresponding benzyl ester (V), which is condensed with N-(1-ethoxycarbonyl-3-phenylpropyl)alanine (VI) by means of dicyclohexylcarbodiirnide (DCC) in DMF affording benzyl N-(1-ethoxycarbonyl-3-phenylpropyl)alanyl-cis,endo-2-azabicyclo[3.3.0]octan-3-carboxylate (VII). Finally, this compound is debenzylated by hydrogenation with H2 over Pd/C in ethanol.

Drug Information Express,Drug R&D,Chemical Database,Patent Search.
Copyright © 2006-2026 Drug Future. All rights reserved.Contact Us