【药物名称】Rioprostil, TR-4698, ORF-15927
化学结构式(Chemical Structure):
参考文献No.4456
标题:Preparation of 15-deoxy-16-hydroxyprostaglandins
作者:Woessner, W.D.; Biddlecom, W.G.; Kluender, H.C. (Bayer Corp.)
来源:US 4132738
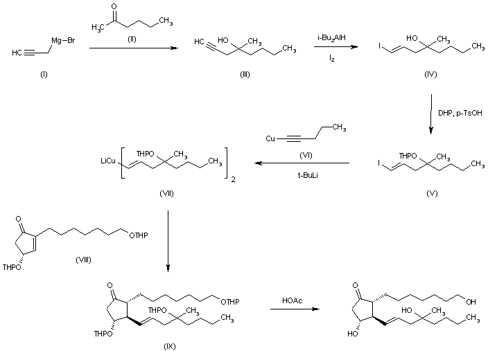
合成路线图解说明:

The Grignard reaction of propargylmagnesium bromide (I) with 2-hexanone (II) in ether gives 4-methyloct-1-in-4-ol (III), which by reaction with diisobutylaluminum hydride and I2 is converted to 1-iodo-4-methyloct-1-en-4-ol (IV). The reaction of (IV) with dihydropyran and p-toluenesulfonic acid yields the corresponding tetrahydropyranyloxy derivative (V), which by reaction with tert-butyllithium and copper pentyne (VI) affords the corresponding organolithiocuprate (VII). The condensation of (VII) with 4R-(tetrahydropyranyloxy)-2-[7-(tetrahydropyranyloxyl)heptyl]cyclopent-2-en-1-one (VIII) in ether gives 1,11,16-tris(tetrahydropyranyloxy)-16-methylprost-13-en-9-one (IX), which is finally deprotected by a treatment with acetic acid in water THF.

参考文献No.63631
标题:Rioprostil
作者:Casta馿r, J.; Serradell, M.N.
来源:Drugs Fut 1985,10(3),207
合成路线图解说明:

The Grignard reaction of propargylmagnesium bromide (I) with 2-hexanone (II) in ether gives 4-methyloct-1-in-4-ol (III), which by reaction with diisobutylaluminum hydride and I2 is converted to 1-iodo-4-methyloct-1-en-4-ol (IV). The reaction of (IV) with dihydropyran and p-toluenesulfonic acid yields the corresponding tetrahydropyranyloxy derivative (V), which by reaction with tert-butyllithium and copper pentyne (VI) affords the corresponding organolithiocuprate (VII). The condensation of (VII) with 4R-(tetrahydropyranyloxy)-2-[7-(tetrahydropyranyloxyl)heptyl]cyclopent-2-en-1-one (VIII) in ether gives 1,11,16-tris(tetrahydropyranyloxy)-16-methylprost-13-en-9-one (IX), which is finally deprotected by a treatment with acetic acid in water THF.

Drug Information Express,Drug R&D,Chemical Database,Patent Search.
Copyright © 2006-2026 Drug Future. All rights reserved.Contact Us