【药物名称】Cefuroxime axetil, SN-407, CCI-15641, Lifurox, Zinat, Elobact, Ceftin, Zinnat, Maxitil
化学结构式(Chemical Structure):
参考文献No.45864
标题:Cephalosporins antibiotics
作者:Gregson, M.; Sykes, R.B. (Glaxo Group Ltd.)
来源:DE 2706413; FR 2340950; JP 52100494; US 4267320
合成路线图解说明:

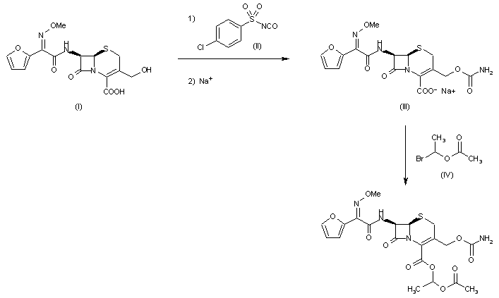
The reaction of 3-hydroxymethyl-7-[2-(2-furyl)-2-methoxyiminoacetamido]-3-cephem-4-carboxylic acid (I) with chlorosulfonyl isocyanate (II) and then with sodium 2-ethylhexanoate gives sodium cefuroxime (III), which is then treated with 1-bromoethyl acetate (IV) in DMA.

参考文献No.45865
标题:Amorphous form of cefuroxime ester
作者:Crisp, H.A.; Clayton, J.C. (Glaxo Group Ltd.)
来源:DE 3327449; EP 0107276; FR 2531087; GB 2127401; JP 59044391; US 4562181; US 4820833; US 4994567; US 55013833
合成路线图解说明:

The reaction of 3-hydroxymethyl-7-[2-(2-furyl)-2-methoxyiminoacetamido]-3-cephem-4-carboxylic acid (I) with chlorosulfonyl isocyanate (II) and then with sodium 2-ethylhexanoate gives sodium cefuroxime (III), which is then treated with 1-bromoethyl acetate (IV) in DMA.

参考文献No.49465
标题:Cefuroxime Axetil
作者:Serradell, M.N.; Casta馿r, J.
来源:Drugs Fut 1985,10(2),112
合成路线图解说明:

The reaction of 3-hydroxymethyl-7-[2-(2-furyl)-2-methoxyiminoacetamido]-3-cephem-4-carboxylic acid (I) with chlorosulfonyl isocyanate (II) and then with sodium 2-ethylhexanoate gives sodium cefuroxime (III), which is then treated with 1-bromoethyl acetate (IV) in DMA.

Drug Information Express,Drug R&D,Chemical Database,Patent Search.
Copyright © 2006-2026 Drug Future. All rights reserved.Contact Us