【药物名称】Croconazole hydrochloride, Cloconazole hydrochloride, 710674S, Pilzcin
化学结构式(Chemical Structure):
参考文献No.49460
标题:Cloconazole Hydrochloride
作者:Ogata, M.; Tawara, K.
来源:Drugs Fut 1985,10(6),451
合成路线图解说明:

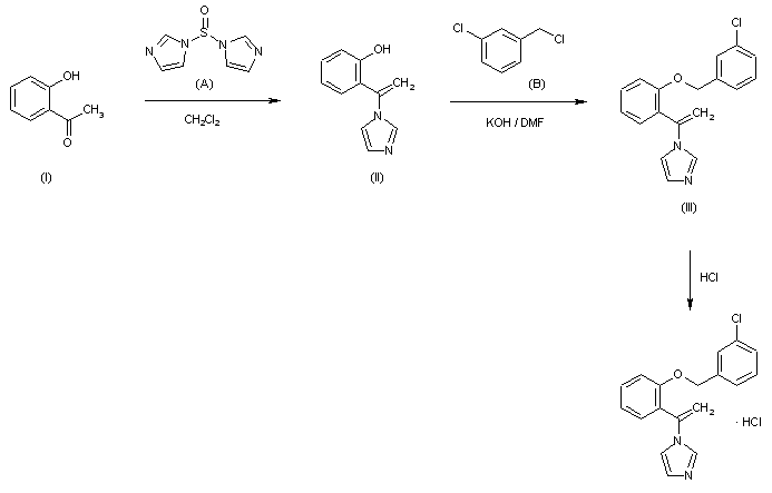
This 1-vinyl derivative (II) is obtained by reaction of N,N'-thionyldiimidazole (A) with o-hydroxyacetophenone (I) in dichloromethane at room temperature. Treatment of (II) with m-chlorobenzyl chloride (B) in the presence of KOH in DMF gives the m-chlorobenzyl ether (III). The hydrochloride can be prepared by treatment of (III) with HCl in AcOEt.

参考文献No.607675
标题:1-[1-[2-[(3-Chlorobenzyl)oxy]phenyl]vinyl]-1H-imidazole hydrochloride, a new potent antifungal agent
作者:Ogata, M.; Matsumoto, H.; Hamada, Y.; Takehara, M.; Tawara, K.
来源:J Med Chem 1983,26(5),768-770
合成路线图解说明:

This 1-vinyl derivative (II) is obtained by reaction of N,N'-thionyldiimidazole (A) with o-hydroxyacetophenone (I) in dichloromethane at room temperature. Treatment of (II) with m-chlorobenzyl chloride (B) in the presence of KOH in DMF gives the m-chlorobenzyl ether (III). The hydrochloride can be prepared by treatment of (III) with HCl in AcOEt.

Drug Information Express,Drug R&D,Chemical Database,Patent Search.
Copyright © 2006-2026 Drug Future. All rights reserved.Contact Us