【药物名称】Cycletanide( ), Cicletanine, BN-50418(L-isomer), BN-50417(D-isomer), Win-90000, BN-1270( ), Justar, Tenstaten
化学结构式(Chemical Structure):
参考文献No.46017
标题:Furo[3,4-c]pyridine derivatives and their pharmaceutical use
作者:Esanu, A. (SCRAS (Societ?de Conseils de Recherches et d'Applications Scientifiques))
来源:BE 0891797; DE 3204596; FR 2499406; FR 2499574; GB 2092586; JP 82150688; US 4383998
合成路线图解说明:

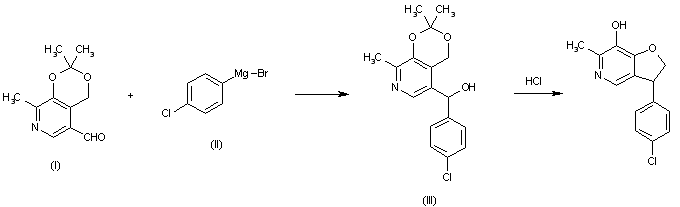
The Grignard reaction of 2,2,8-trimethyl-5-formylpyrido[4,3-e]-1,3-dioxane (I) with 4-chlorophenyl magnesium bromide (II) in refluxing ether gives 2,2,8-trimethyl-5-(4-chloro-alpha-hydroxybenzyl)pyrido[4,3-e]-1,3-dioxane (III), which is then hydrolyzed and cyclized by a treatment with aqueous concentrated HCl

参考文献No.62305
标题:Cycletanide
作者:Casta馿r, J.; Serradell, M.N.; Thorpe, P.
来源:Drugs Fut 1985,10(5),378
合成路线图解说明:

The Grignard reaction of 2,2,8-trimethyl-5-formylpyrido[4,3-e]-1,3-dioxane (I) with 4-chlorophenyl magnesium bromide (II) in refluxing ether gives 2,2,8-trimethyl-5-(4-chloro-alpha-hydroxybenzyl)pyrido[4,3-e]-1,3-dioxane (III), which is then hydrolyzed and cyclized by a treatment with aqueous concentrated HCl

Drug Information Express,Drug R&D,Chemical Database,Patent Search.
Copyright © 2006-2026 Drug Future. All rights reserved.Contact Us