【药物名称】Zindoxifene, NSC-341952, D-16726
化学结构式(Chemical Structure):
参考文献No.65169
标题:D-16726
作者:von Angerer, E.; Sheldrick, W.S.; Engel, J.; Schneider, M.R.
来源:Drugs Fut 1985,10(4),281
合成路线图解说明:

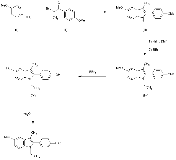
4-Methoxyaniline (I) is reacted with 2'-bromo-4-methoxypropiophenone (II) to afford the indole (III). The ethyl group is introduced by deprotonation with sodium hydride in DMF followed by addition of ethyl bromide. The ether cleavage of (IV) with BBr3 yields the hydroxy derivative (V), which is converted to the acetate by using acetic acid an hydride in pyridine.

参考文献No.803924
标题:Benzo[a]carbazole derivatives. Synthesis, estrogen receptor binding affinities, and mammary tumor inhibiting activity
作者:von Angerer, E.; Prekajac, J.
来源:J Med Chem 1986,29(3),380-6
合成路线图解说明:

4-Methoxyaniline (I) is reacted with 2'-bromo-4-methoxypropiophenone (II) to afford the indole (III). The ethyl group is introduced by deprotonation with sodium hydride in DMF followed by addition of ethyl bromide. The ether cleavage of (IV) with BBr3 yields the hydroxy derivative (V), which is converted to the acetate by using acetic acid an hydride in pyridine.

Drug Information Express,Drug R&D,Chemical Database,Patent Search.
Copyright © 2006-2026 Drug Future. All rights reserved.Contact Us