【药物名称】Dopexamine, FPL-60278
化学结构式(Chemical Structure):
参考文献No.41910
标题:Phenylethylamine derivatives and pharmaceutical use
作者:Farmer, J.B.; Ince, F.; Brown, R.A.; Dixon, J. (Rh鬾e-Poulenc Rorer Ltd.)
来源:CA 1191846; EP 0072061; US 5013760
合成路线图解说明:

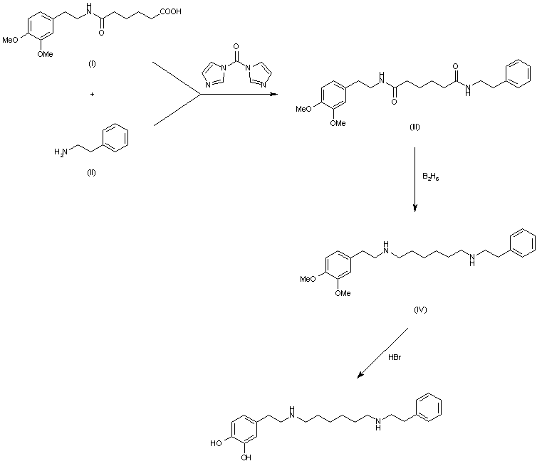
The condensation of 6-oxo-6-[2-(3,4-dimeth oxyphenyl)ethylaminolhexanoic acid (I) with 2-phenylethylamine (II) by means of N,N'-carbonyldiimidazole in CH2Cl2 gives N-[2-(3,4-dimethoxyphenyl)ethyl]-N'-(2'-phenylethyl)hexane-1,6-diamide (III), which is reduced by means of diborane in THF yielding N-[2-(3,4 dimethoxyphenyl)ethyl-N'-(2-phenylethyl)hexane-1,6-diamine (IV). Finally, this compound is demethylated by means of refluxing 48% aqueous HBr.

参考文献No.70129
标题:Dopexamine
作者:Prous, J.; Casta馿r, J.
来源:Drugs Fut 1985,10(8),628
合成路线图解说明:

The condensation of 6-oxo-6-[2-(3,4-dimeth oxyphenyl)ethylaminolhexanoic acid (I) with 2-phenylethylamine (II) by means of N,N'-carbonyldiimidazole in CH2Cl2 gives N-[2-(3,4-dimethoxyphenyl)ethyl]-N'-(2'-phenylethyl)hexane-1,6-diamide (III), which is reduced by means of diborane in THF yielding N-[2-(3,4 dimethoxyphenyl)ethyl-N'-(2-phenylethyl)hexane-1,6-diamine (IV). Finally, this compound is demethylated by means of refluxing 48% aqueous HBr.

Drug Information Express,Drug R&D,Chemical Database,Patent Search.
Copyright © 2006-2026 Drug Future. All rights reserved.Contact Us