【药物名称】Benidipine hydrochloride, KW-3049, Coniel R, Coniel
化学结构式(Chemical Structure):
参考文献No.42022
标题:1,4-Dihyropiridine derivatives
作者:Muto, K.; Watanabe, M.; Hatta, T.; Sugaya, T.; Takemoto, Y.; Nakamizo, N. (Kyowa Hakko Kogyo Co., Ltd.)
来源:EP 0063365; JP 57171968; US 4448964
合成路线图解说明:

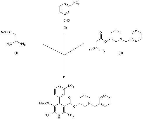
1) By cyclization of 3-nitrobenzaldehyde (I) with methyl 3-aminocrotonate (II) and N-benzyl-3-pipendinyl acetylacetate (III) in refluxing THF.

参考文献No.42080
标题:1,4-Dihydropyridine derivatives
作者:Muto, K.; Kuroda, T.; Karasawa, A.; Yamada, K.; Nakamizo, N. (Kyowa Hakko Kogyo Co., Ltd.)
来源:CA 1246078; EP 0106275; ES 526441
合成路线图解说明:

1) By cyclization of 3-nitrobenzaldehyde (I) with methyl 3-aminocrotonate (II) and N-benzyl-3-pipendinyl acetylacetate (III) in refluxing THF.

合成路线图解说明:

2) By cyclization of methyl 3-nitrobenzylidene acetoacetate (IV) with (III) in refluxing THF.

合成路线图解说明:

3) By cyclization of (IV) with N-benzyl 3-piperidyl-3-aminocrotonate (V) in refluxing methanol.

合成路线图解说明:

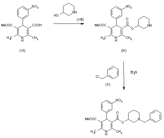
4) By esterification of 1,4-dihydro-2,6-dimethyl 4-(3-nitrophenyl)pyridine-3,5-dicarboxylic acid monomethyl ester (VI) with 1-benzyl-3-hydroxypiperidine (VII) by means of SOCl2 in DMF dichloroethane.

合成路线图解说明:

5) The esterification of (VI) with 3-hydroxypipendine (VIII) as before gives the corresponding ester (IX), which is then benzylated with benzyl chloride (X) by means of triethylamine in refluxing THF.

参考文献No.77465
标题:KW-3049
作者:Prous, J.; Casta馿r, J.
来源:Drugs Fut 1986,11(11),936
合成路线图解说明:

1) By cyclization of 3-nitrobenzaldehyde (I) with methyl 3-aminocrotonate (II) and N-benzyl-3-pipendinyl acetylacetate (III) in refluxing THF.

合成路线图解说明:

2) By cyclization of methyl 3-nitrobenzylidene acetoacetate (IV) with (III) in refluxing THF.

合成路线图解说明:

3) By cyclization of (IV) with N-benzyl 3-piperidyl-3-aminocrotonate (V) in refluxing methanol.

合成路线图解说明:

4) By esterification of 1,4-dihydro-2,6-dimethyl 4-(3-nitrophenyl)pyridine-3,5-dicarboxylic acid monomethyl ester (VI) with 1-benzyl-3-hydroxypiperidine (VII) by means of SOCl2 in DMF dichloroethane.

合成路线图解说明:

5) The esterification of (VI) with 3-hydroxypipendine (VIII) as before gives the corresponding ester (IX), which is then benzylated with benzyl chloride (X) by means of triethylamine in refluxing THF.

Drug Information Express,Drug R&D,Chemical Database,Patent Search.
Copyright © 2006-2026 Drug Future. All rights reserved.Contact Us