【药物名称】Bisoprolol fumarate, TA-4708(free base), CL-297939(hemifumarate), EMD-33512(free base), Euradal, Cardicor, Soprol, Concor COR, Monocor, Emcor, Fondril, Maintate, Zebeta, Concor
化学结构式(Chemical Structure):
参考文献No.42739
标题:Phenoxy-amino-propanols
作者:Schliep, H.-J.; Enenkel, H.-J.; Minck, K.; Becker, K.-H.; Jonas, R. (Merck Patent GmbH)
来源:US 4258062
合成路线图解说明:

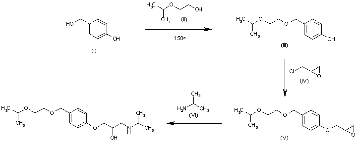
The condensation of 4-hydroxybenzyl alcohol (I) with 2-isopropoxyethanol (II) by heating at 150 C gives the corresponding benzyl ether (III), which is condensed with epichlorohydrin (IV) to yield the adduct (V). Finally, this compound is treated with isopropylamine in ethanol.

参考文献No.49457
标题:Bisoprolol fumarate
作者:Casta馿r, J.; Prous, J.
来源:Drugs Fut 1986,11(10),829
合成路线图解说明:

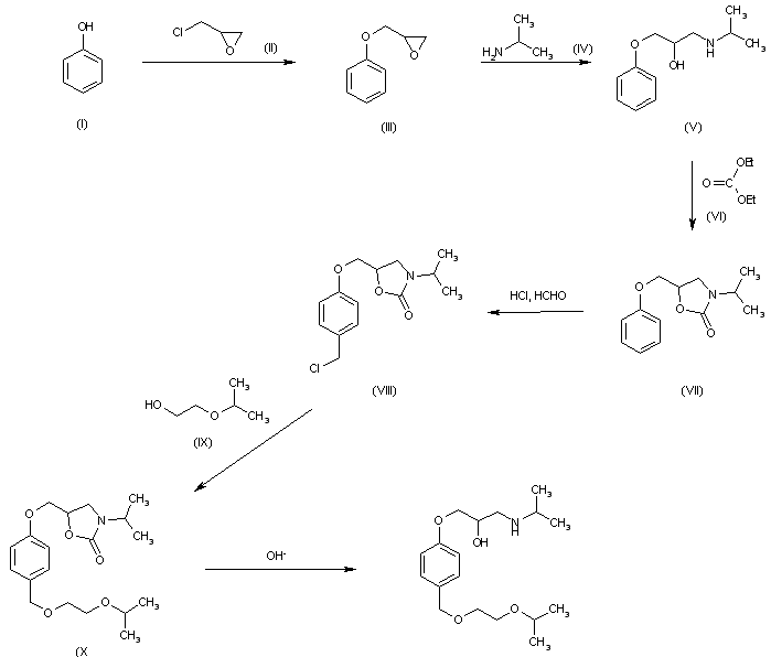
1) The reaction of phenol (I) with epichlorohydrin (II) gives 1,2-epoxy-3-phenoxypropane (III), which is treated with isopropylamine (IV) to afford 3-(isopropylamino)-1-phenoxy-2-propanol (V). Cyclization of (V) with diethyl carbonate (VI) yields 3-isopropyl-5-(phenoxymethyloxazolidin-2-one) (VII), which is chloromethylated with formaldehyde - HCl giving 3-isopropyl-5-(4-chloromethylphenoxymethyl)oxazolidin-2-one (VIII). Etherification of (VIII) with ethylene glycol monoisopropyl ether (IX) yields the corresponding ether (XI), which is finally deprotected by alkaline hydrolysis.

参考文献No.556260
标题:Pharmacodynamic profile of the selective beta1-adrenoceptor antagonist bisoprolol
作者:Harting, J.; et al.
来源:Arzneim-Forsch Drug Res 1986,36(2),200
合成路线图解说明:

1) The reaction of phenol (I) with epichlorohydrin (II) gives 1,2-epoxy-3-phenoxypropane (III), which is treated with isopropylamine (IV) to afford 3-(isopropylamino)-1-phenoxy-2-propanol (V). Cyclization of (V) with diethyl carbonate (VI) yields 3-isopropyl-5-(phenoxymethyloxazolidin-2-one) (VII), which is chloromethylated with formaldehyde - HCl giving 3-isopropyl-5-(4-chloromethylphenoxymethyl)oxazolidin-2-one (VIII). Etherification of (VIII) with ethylene glycol monoisopropyl ether (IX) yields the corresponding ether (XI), which is finally deprotected by alkaline hydrolysis.

Drug Information Express,Drug R&D,Chemical Database,Patent Search.
Copyright © 2006-2026 Drug Future. All rights reserved.Contact Us