【药物名称】Dromoprednate, Ro-12-7024
化学结构式(Chemical Structure):
参考文献No.39867
标题:D-Homopregnanes
作者:F黵st, A.; Alig, L.; Kerb, U.; M黮ler, M.; Wiechert, R.; Kieslich, K. (Hoffmann-La Roche, Inc.)
来源:US 4202841
合成路线图解说明:

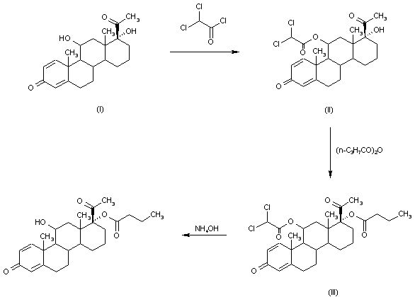
The partial acylation of 11beta,17a alpha(dihydroxy-D-homopregna-1,4-diene 3,20-dione (I) with 2,2-dichloroacetyl chloride gives the corresponding compound (II), which is acylated again with butyric anhydride yielding 17a alpha-butyryloxy-11beta-dichloroacetoxy-D-homopregna-1,4-diene-3,20-dione (III). Finally, this compound is hydrolyzed partially with aqueous NH4OH and methanol.

参考文献No.62678
标题:Domoprednate
作者:Baines, A.; M黮ler, M.
来源:Drugs Fut 1987,12(2),118
合成路线图解说明:

The partial acylation of 11beta,17a alpha(dihydroxy-D-homopregna-1,4-diene 3,20-dione (I) with 2,2-dichloroacetyl chloride gives the corresponding compound (II), which is acylated again with butyric anhydride yielding 17a alpha-butyryloxy-11beta-dichloroacetoxy-D-homopregna-1,4-diene-3,20-dione (III). Finally, this compound is hydrolyzed partially with aqueous NH4OH and methanol.

Drug Information Express,Drug R&D,Chemical Database,Patent Search.
Copyright © 2006-2026 Drug Future. All rights reserved.Contact Us