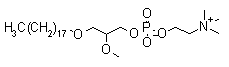
【药物名称】Edelfosine, Ro-14-5243, (?-ET-18-OMe, (?-ET-18-OCH3
化学结构式(Chemical Structure):
参考文献No.65166
标题:ET-18-OCH3
作者:Casta馿r, R.M.; Casta馿r, J.; Serradell, M.N.
来源:Drugs Fut 1987,12(4),341
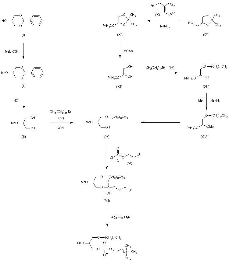
合成路线图解说明:

Two different routes have been described for the preparation of Et-18-OCH3: 1) The methylation of 1,3-benzylideneglycerol (I) with methyl iodide and KOH gives 1,3-benzytidene-2-O-methylglycerol (II), which is hydrolyzed with HCl to 2-O-methylglycerol (III). The condensation of (III) with octadecyl bromide (IV) and KOH in DMSO/THF yields 1-O-octadecyl-2-O-methyl-(rac)-glycerol (V), which by reaction with phosphorodichloric acid 2-bromoethyl ester (VI) and pyridine is converted to 3-octadecyloxy-2-methoxypropyl bromoethyl phosphate (VII). Finally, this compound is converted to Et-18-OCH3 with trimethylamine (VIII) in toluene and treated with silver carbonate to remove traces of bromide. 2) The reaction of 1,2-isopropylidene-sn-glycerol (IX) with benzyl bromide (X) and NaNH2 in benzene gives 1,2-isopropylidene-3-O-benzyl-sn-glycerol (XI), which is hydrolyzed with acetic acid to 3-O-benzyl-sn-glycerol (XII). The etherification of (XII) with (IV) as before or with NaNH2 gives 1-O-octadecyl-3-O-benzyl-sn-glycerol (XIII), which is methylated with methyl iodide and NaNH2 in dioxane to give 1-O-octadecyl-2-O-methyl-3-O-benzyl-sn-glycerol (XIV). Finally, this compound is debenzytaled by hydrogenolysis with H2 over Pd/C in petroleum ether to form (V), an intermediate previously described above.

参考文献No.700505
标题:
作者:Fast, L.D.; et al.
来源:Chem Pharm Bull 1982,30(9),3260-3270
合成路线图解说明:

Two different routes have been described for the preparation of Et-18-OCH3: 1) The methylation of 1,3-benzylideneglycerol (I) with methyl iodide and KOH gives 1,3-benzytidene-2-O-methylglycerol (II), which is hydrolyzed with HCl to 2-O-methylglycerol (III). The condensation of (III) with octadecyl bromide (IV) and KOH in DMSO/THF yields 1-O-octadecyl-2-O-methyl-(rac)-glycerol (V), which by reaction with phosphorodichloric acid 2-bromoethyl ester (VI) and pyridine is converted to 3-octadecyloxy-2-methoxypropyl bromoethyl phosphate (VII). Finally, this compound is converted to Et-18-OCH3 with trimethylamine (VIII) in toluene and treated with silver carbonate to remove traces of bromide. 2) The reaction of 1,2-isopropylidene-sn-glycerol (IX) with benzyl bromide (X) and NaNH2 in benzene gives 1,2-isopropylidene-3-O-benzyl-sn-glycerol (XI), which is hydrolyzed with acetic acid to 3-O-benzyl-sn-glycerol (XII). The etherification of (XII) with (IV) as before or with NaNH2 gives 1-O-octadecyl-3-O-benzyl-sn-glycerol (XIII), which is methylated with methyl iodide and NaNH2 in dioxane to give 1-O-octadecyl-2-O-methyl-3-O-benzyl-sn-glycerol (XIV). Finally, this compound is debenzytaled by hydrogenolysis with H2 over Pd/C in petroleum ether to form (V), an intermediate previously described above.

参考文献No.700506
标题:
作者:Tsutsumi, H.; Kamata, T.; Nakajima, K.; Katagi, M.; Tsuchihashi, H.; Nishioka, H.; Nishikawa, M.; Miki, A.; Tatsuno, M.
来源:Chem Phys Lipids 1982,30(9),389-392
合成路线图解说明:

Two different routes have been described for the preparation of Et-18-OCH3: 1) The methylation of 1,3-benzylideneglycerol (I) with methyl iodide and KOH gives 1,3-benzytidene-2-O-methylglycerol (II), which is hydrolyzed with HCl to 2-O-methylglycerol (III). The condensation of (III) with octadecyl bromide (IV) and KOH in DMSO/THF yields 1-O-octadecyl-2-O-methyl-(rac)-glycerol (V), which by reaction with phosphorodichloric acid 2-bromoethyl ester (VI) and pyridine is converted to 3-octadecyloxy-2-methoxypropyl bromoethyl phosphate (VII). Finally, this compound is converted to Et-18-OCH3 with trimethylamine (VIII) in toluene and treated with silver carbonate to remove traces of bromide. 2) The reaction of 1,2-isopropylidene-sn-glycerol (IX) with benzyl bromide (X) and NaNH2 in benzene gives 1,2-isopropylidene-3-O-benzyl-sn-glycerol (XI), which is hydrolyzed with acetic acid to 3-O-benzyl-sn-glycerol (XII). The etherification of (XII) with (IV) as before or with NaNH2 gives 1-O-octadecyl-3-O-benzyl-sn-glycerol (XIII), which is methylated with methyl iodide and NaNH2 in dioxane to give 1-O-octadecyl-2-O-methyl-3-O-benzyl-sn-glycerol (XIV). Finally, this compound is debenzytaled by hydrogenolysis with H2 over Pd/C in petroleum ether to form (V), an intermediate previously described above.

参考文献No.803828
标题:Antitumor ether lipids and alkylphosphocholines
作者:Bittman, R.; Lohmeyer, M.
来源:Drugs Fut 1994,19(11),1021
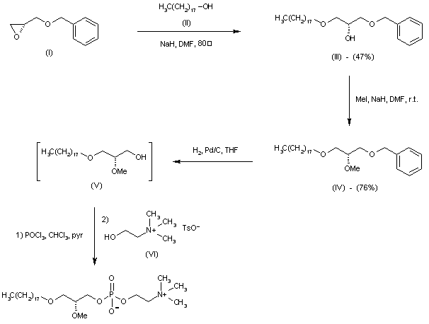
合成路线图解说明:

The reaction of (R)-O-benzylglycidol (I) with octadecanol (II) by means of NaH in hot DMF gives (R)-1-(benzyloxy)-3-(octadecyloxy)-2-propanol (III), which is methylated with methyl iodide and NaH in DMF yielding the corresponding methyl ether (IV). The debenzylation of (IV) with H2 over Pd/C in THF affords the primary alcohol (V), which is finally treated with POCl3/pyridine in CHCl3 and condensed with choline tosylate (VI) to furnish the target phosphorylcholine derivative.

合成路线图解说明:

The reaction of 2-(hydroxymethyl)propenoic acid ethyl ester (I) with PBr3 and then with hexadecyl mercaptane (II) and TEA gives 2-(hexadecylsulfanylmethyl)propenoic acid methyl ester (III), which is reduced with DIBAL in THF to the corresponding carbinol (IV). The methylation of (IV) with methyl iodide and NaH in THF affords the methyl ether (V), which is hydroxylated at the double bond with BH3/Me2S and NaBO3 providing 3-(hexadecylsulfanyl)-2-(methoxymethyl)-1-propanol (VI). Finally this compound is treated with POCl3 and TEA in chloroform and condensed with choline tosylate (VII) to furnish the target phosphorylcholine derivative.

合成路线图解说明:

The reaction of hexadecanol (I) with the cyclic chlorophosphate ester (II) and TEA in tert-butyl methyl ether gives the cyclic hexadecyl phosphate (III), which is condensed with TEA in hot acetonitrile to afford the target phosphorylcholine ester.

合成路线图解说明:

The reaction of hexadecanol (I) with the cyclic chlorophosphate ester (II) and DIEA in dichloromethane gives the cyclic hexadecyl phosphate (III), which is brominated with Br2 in the same solvent to yield the mixed 2-bromoethyl hexadecyl bromophosphate ester (IV). Finally this compound is condensed with trimethylamine in acetonitrile/isopropanol/chloroform to furnish the target phosphorylcholine ester.

参考文献No.803829
标题:Synthese von Glycery鋞herphosphatiden. Herstellung von 1-O-octadecyl-2-O-acetyl-sn-glyceryl-3-phosphorylchloline (`Platelet Activating Factor'), des Enantiomeren sowie einiger analoger Verbindungen
作者:Barner, R.; Hirth, G.
来源:Helv Chim Acta 1982,651059-84
合成路线图解说明:

The reaction of (R)-O-benzylglycidol (I) with octadecanol (II) by means of NaH in hot DMF gives (R)-1-(benzyloxy)-3-(octadecyloxy)-2-propanol (III), which is methylated with methyl iodide and NaH in DMF yielding the corresponding methyl ether (IV). The debenzylation of (IV) with H2 over Pd/C in THF affords the primary alcohol (V), which is finally treated with POCl3/pyridine in CHCl3 and condensed with choline tosylate (VI) to furnish the target phosphorylcholine derivative.

Drug Information Express,Drug R&D,Chemical Database,Patent Search.
Copyright © 2006-2026 Drug Future. All rights reserved.Contact Us