【药物名称】Amifloxacin, Win-493753(mesylate), Win-49375
化学结构式(Chemical Structure):
参考文献No.46001
标题:New quinolone compounds and preparation thereof
作者:Wentland, M.P.; Bailey, D.M. (Sterling Winthrop Inc.)
来源:EP 0090424; JP 8401468
合成路线图解说明:

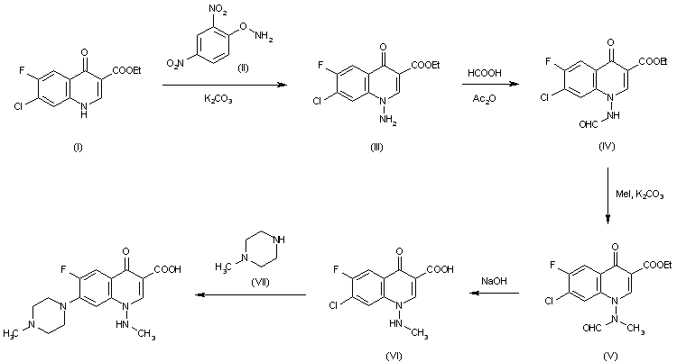
The reaction of ethyl 7-chloro-6-fluoro-1,4-dihydro-4-oxo-3-quinolinecarboxylate (I) with O-(2,4-dinitrophenyl)hydroxylamine (II) by means of K2CO3 in DMF gives ethyl 1-amino-6-fluoro-7-chloro-1,4-dihydro-4-oxo-3-quinolinecarboxylate (III), which is formylated with HCOOH in acetic anhydride yielding the corresponding 1-(formylamino) compound (IV). The methylation of (IV) with MeI and K2CO3 in DMF affords the 1-(formylmethylamino) compound (V), which is hydrolyzed with NaOH in refluxing water to give 7-chloro-6-fluoro-1,4-dihydro-4-oxo-1-(methylamino)quinoline-3-carboxylic acid (VI). Finally, this compound is condensed with N-methylpiperazine (VII) in refluxing pyridine.

参考文献No.63602
标题:Amifloxacin
作者:Casta馿r, J.; Serradell, M.N.; Burnie, J.; Matthews, R.
来源:Drugs Fut 1985,10(3),183
合成路线图解说明:

The reaction of ethyl 7-chloro-6-fluoro-1,4-dihydro-4-oxo-3-quinolinecarboxylate (I) with O-(2,4-dinitrophenyl)hydroxylamine (II) by means of K2CO3 in DMF gives ethyl 1-amino-6-fluoro-7-chloro-1,4-dihydro-4-oxo-3-quinolinecarboxylate (III), which is formylated with HCOOH in acetic anhydride yielding the corresponding 1-(formylamino) compound (IV). The methylation of (IV) with MeI and K2CO3 in DMF affords the 1-(formylmethylamino) compound (V), which is hydrolyzed with NaOH in refluxing water to give 7-chloro-6-fluoro-1,4-dihydro-4-oxo-1-(methylamino)quinoline-3-carboxylic acid (VI). Finally, this compound is condensed with N-methylpiperazine (VII) in refluxing pyridine.

参考文献No.607702
标题:Novel amino-substituted 3-quinolinecarboxylic acid antibacterial agents: Synthesis and stucture-activity relationships
作者:Wentland, M.P.; Bailey, D.M.; Cornett, J.B.; Dobson, .A.; Powles, R.G.; Wagner, R.B.
来源:J Med Chem 1984,27(9),1103
合成路线图解说明:

The reaction of ethyl 7-chloro-6-fluoro-1,4-dihydro-4-oxo-3-quinolinecarboxylate (I) with O-(2,4-dinitrophenyl)hydroxylamine (II) by means of K2CO3 in DMF gives ethyl 1-amino-6-fluoro-7-chloro-1,4-dihydro-4-oxo-3-quinolinecarboxylate (III), which is formylated with HCOOH in acetic anhydride yielding the corresponding 1-(formylamino) compound (IV). The methylation of (IV) with MeI and K2CO3 in DMF affords the 1-(formylmethylamino) compound (V), which is hydrolyzed with NaOH in refluxing water to give 7-chloro-6-fluoro-1,4-dihydro-4-oxo-1-(methylamino)quinoline-3-carboxylic acid (VI). Finally, this compound is condensed with N-methylpiperazine (VII) in refluxing pyridine.

Drug Information Express,Drug R&D,Chemical Database,Patent Search.
Copyright © 2006-2026 Drug Future. All rights reserved.Contact Us