【药物名称】Antineoplaston A10, NSC-648539
化学结构式(Chemical Structure):
参考文献No.46622
标题:Purified antineoplaston factions and methods of treating neoplastic disease
作者:Burzynski, S.R. (Burzynski Research Institute)
来源:EP 0069232; JP 5032548; JP 5058886; JP 58010521; US 4470970
合成路线图解说明:

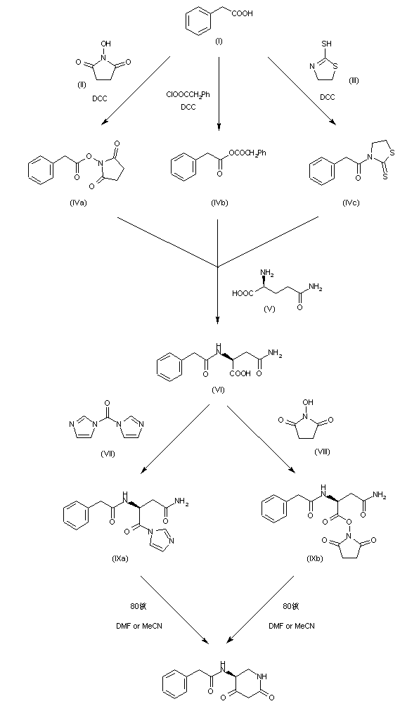
Antineopleston A10 (A10) can be obtained by two different ways: 1) A10 has been synthesized in two steps: Condensation of phenylacetic acid (I) with L-glutamine (V) to give phenylacetyl-L-glutamine (VI), followed by intramolecular cyclization of the latter. In the first step (I) is activated by reacting with various reagents such as HOSu (N-hydroxysuccinimide) (II) in the presence of DCC, DCC (N,N-dicyclohexylcarbodiimide) or 2-mercaptothiazoline (III) in the presence of DCC to afford the intermediates (IVa), (IVb) and (IVc), respectively. Without isolation, the intermediate (IVa), (IVb) or (IVc) is treated with a solution of L-glutamine in CH3CN:H2O (2:1) containing NaHCO3 to give (VI) in 60, 87 and 82% yields, respectively. In the second step (VI) is converted to the activated intermediate (IXa) or (IXb) by treatment with CDI (1,1'-carbonydiimidazole) (VII) or HOSu (VIII) in the presence of DCC. Finally, intramolecular cyclization of (IXa) or (IXb) is effected by treating the latter at 80 C to yield A10 in 85 or 82% yield, respectively. 2) Reaction of phenylacetyl chloride with L-glutamine in aqueous solution containing NaHCO3 affords phenylacetyl-L-glutamine (VI), which is heated at 160 C to give A10.

参考文献No.63053
标题:Antineoplaston A10
作者:Burzynski, S.R.; Hai, T.T.
来源:Drugs Fut 1985,10(2),103
合成路线图解说明:

Antineopleston A10 (A10) can be obtained by two different ways: 1) A10 has been synthesized in two steps: Condensation of phenylacetic acid (I) with L-glutamine (V) to give phenylacetyl-L-glutamine (VI), followed by intramolecular cyclization of the latter. In the first step (I) is activated by reacting with various reagents such as HOSu (N-hydroxysuccinimide) (II) in the presence of DCC, DCC (N,N-dicyclohexylcarbodiimide) or 2-mercaptothiazoline (III) in the presence of DCC to afford the intermediates (IVa), (IVb) and (IVc), respectively. Without isolation, the intermediate (IVa), (IVb) or (IVc) is treated with a solution of L-glutamine in CH3CN:H2O (2:1) containing NaHCO3 to give (VI) in 60, 87 and 82% yields, respectively. In the second step (VI) is converted to the activated intermediate (IXa) or (IXb) by treatment with CDI (1,1'-carbonydiimidazole) (VII) or HOSu (VIII) in the presence of DCC. Finally, intramolecular cyclization of (IXa) or (IXb) is effected by treating the latter at 80 C to yield A10 in 85 or 82% yield, respectively. 2) Reaction of phenylacetyl chloride with L-glutamine in aqueous solution containing NaHCO3 affords phenylacetyl-L-glutamine (VI), which is heated at 160 C to give A10.

参考文献No.700526
标题:
作者:Verhoef, J.; Schmitz, F.-J.; Fluit, A.C.; Milatovic, D.
来源:13th Intl Cong Chemother (Aug. 28-Sept. 2, Vienna) 1983,50(2),PS 12.4-11-4
合成路线图解说明:

Antineopleston A10 (A10) can be obtained by two different ways: 1) A10 has been synthesized in two steps: Condensation of phenylacetic acid (I) with L-glutamine (V) to give phenylacetyl-L-glutamine (VI), followed by intramolecular cyclization of the latter. In the first step (I) is activated by reacting with various reagents such as HOSu (N-hydroxysuccinimide) (II) in the presence of DCC, DCC (N,N-dicyclohexylcarbodiimide) or 2-mercaptothiazoline (III) in the presence of DCC to afford the intermediates (IVa), (IVb) and (IVc), respectively. Without isolation, the intermediate (IVa), (IVb) or (IVc) is treated with a solution of L-glutamine in CH3CN:H2O (2:1) containing NaHCO3 to give (VI) in 60, 87 and 82% yields, respectively. In the second step (VI) is converted to the activated intermediate (IXa) or (IXb) by treatment with CDI (1,1'-carbonydiimidazole) (VII) or HOSu (VIII) in the presence of DCC. Finally, intramolecular cyclization of (IXa) or (IXb) is effected by treating the latter at 80 C to yield A10 in 85 or 82% yield, respectively. 2) Reaction of phenylacetyl chloride with L-glutamine in aqueous solution containing NaHCO3 affords phenylacetyl-L-glutamine (VI), which is heated at 160 C to give A10.

Drug Information Express,Drug R&D,Chemical Database,Patent Search.
Copyright © 2006-2026 Drug Future. All rights reserved.Contact Us