【药物名称】MK-872
化学结构式(Chemical Structure):
参考文献No.41889
标题:Crystalline diastereomeric L-alpha-methyldopa POE ester and process for its preparation
作者:Budavari, J. (Merck & Co., Inc.)
来源:EP 0087680; JP 58164556; US 4440942
合成路线图解说明:

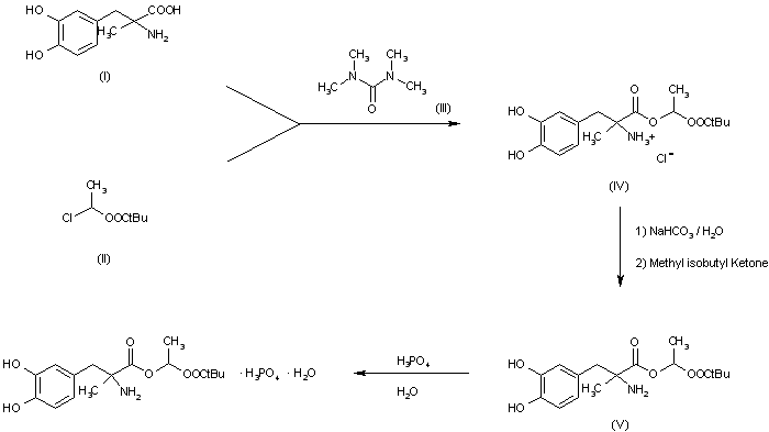
A mixture of 3-hydroxy-alpha-methyl-L-tyronsine (I), alpha-chloroethylpivalate (II) and tetramethylurea (III) is heated at 70-5 C to yield the pivaloyloxyethyl ester hydrochloride (IV). The reaction mixture is diluted with methyl isobutyl ketone and filtered. The filtrate is washed sequentially with saturated NaHCO3 and NaCl solution. Crystallization of 3-hydroxy-a-methyl-L-tyrosine 1-(2,2-dimethyl-1-oxopropoxy)ethyl ester (V) is induced by seeding the solution of (V) in methyl isobutyl ketone. The phosphate or tartrate of (V) may be obtained by adding dilute aqueous e phosphoric acid or tartaric acid to an ethyl acetate: solution of (V).

参考文献No.68111
标题:MK-872
作者:Vickers, S.
来源:Drugs Fut 1985,10(7),563
合成路线图解说明:

A mixture of 3-hydroxy-alpha-methyl-L-tyronsine (I), alpha-chloroethylpivalate (II) and tetramethylurea (III) is heated at 70-5 C to yield the pivaloyloxyethyl ester hydrochloride (IV). The reaction mixture is diluted with methyl isobutyl ketone and filtered. The filtrate is washed sequentially with saturated NaHCO3 and NaCl solution. Crystallization of 3-hydroxy-a-methyl-L-tyrosine 1-(2,2-dimethyl-1-oxopropoxy)ethyl ester (V) is induced by seeding the solution of (V) in methyl isobutyl ketone. The phosphate or tartrate of (V) may be obtained by adding dilute aqueous e phosphoric acid or tartaric acid to an ethyl acetate: solution of (V).

Drug Information Express,Drug R&D,Chemical Database,Patent Search.
Copyright © 2006-2026 Drug Future. All rights reserved.Contact Us