【药物名称】NSC-678516, FM-ara-U, FMAU
化学结构式(Chemical Structure):
参考文献No.65233
标题:FMAU
作者:Lopez, C.
来源:Drugs Fut 1985,10(4),288
合成路线图解说明:

FMAU is prepared by condensation of 3-O-benzoyl-2-fluoro-D-arabinosyl bromide (I) with trimethylsilylated thymine (II) followed by saponification of the protected nucleoside (III).

参考文献No.607185
标题:Nucleosides. 110. Synthesis and antiherpes virus activity of some 2'-fluoro-2'-deoxyarabinofuranosylpyrimidine nucleosides
作者:Watanabe, K.A.; Reichman, U.; Hirota, K.; Lopez, C.; Fox, J.
来源:J Med Chem 1979,22(1),21-24
合成路线图解说明:

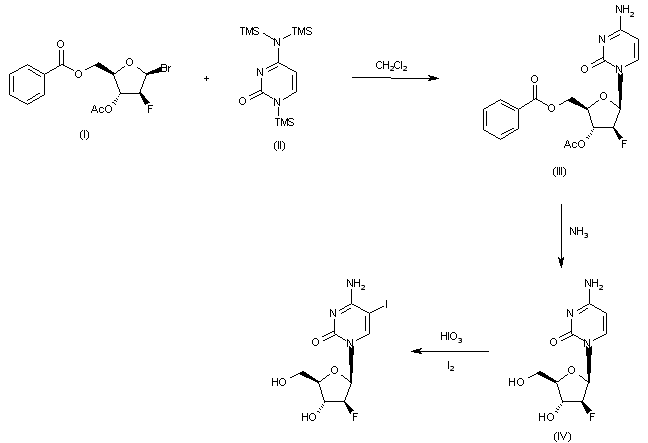
The reaction of 3-O-acetyl-5-O-benzoyl-2-deoxy-2-fluoro-D-arabinofuranosyl bromide (I) with tris(trimethylsilyl)cytosine (II) in methylene chloride gives 1-(3-O-acetyl-5-O-benzoyl-2-deoxy-2-fluoro-beta-D-arabinofuranosyl)cytosine (III), which is hydrolyzed by treatment with methanol NH3 to afford 1-(2-deoxy-2-fluoro-beta-D-arabinofuranosyl)cytosine (IV). Finally, this compound is iodinated by treatment with HIO3 - I2 in CCl4 - H2O - acetic acid.

合成路线图解说明:

FMAU is prepared by condensation of 3-O-benzoyl-2-fluoro-D-arabinosyl bromide (I) with trimethylsilylated thymine (II) followed by saponification of the protected nucleoside (III).

参考文献No.607672
标题:Nucleosides. 123. Synthesis of sntiviral nucleosides: 5-substituted 1-(2-deoxy-2-halogeno-beta-D-arabinofuranosyl)cytosines and -uracils. Some structure-activity relationships
作者:Watanabe, K.A.; Su, T.L.; Klein, R.S.; Chu, C.K.; Matsuda, A.; Chun, M.W.; Lopez, C.; Fox, J.J.
来源:J Med Chem 1983,28(2),152-156
合成路线图解说明:

FMAU is prepared by condensation of 3-O-benzoyl-2-fluoro-D-arabinosyl bromide (I) with trimethylsilylated thymine (II) followed by saponification of the protected nucleoside (III).

参考文献No.689809
标题:Synthesis of [18F]-labeled 2'-deoxy-2'-fluoro-5-methyl-1-beta-D-arabinofuranosyluracil ([18F]-FMAU)
作者:Alauddin, M.M.; et al.
来源:J Label Compd Radiopharm 2002,45(7),583
合成路线图解说明:

The reaction of 1,3,5-tri-O-benzoyl-2-O-(trifluoromethanesulfonyl)-alpha-D-ribofuranose (I) with labeled tetrabutylammonium fluoride in acetonitrile gives 1,3,5-tri-O-benzoyl-2-deoxy-2-fluoro-alpha-D-arabinofuranose (II), which is treated with HBr/HOAc in dichloroethane to yield 3,5-di-O-benzoyl-2-deoxy-2-fluoro-alpha-D-arabinofuranosyl bromide (III). The condensation of (III) with thymine bis trimethylsilyl ether (IV) in dichloroethane affords a mixture of protected nucleoside alpha and beta anomers (V) and (VI), which, without separation, is deprotected with NaOMe in methanol and submitted to HPLC chromatographic separation to provide the target unprotected and labeled beta anomer.

Drug Information Express,Drug R&D,Chemical Database,Patent Search.
Copyright © 2006-2026 Drug Future. All rights reserved.Contact Us