【药物名称】E-0712
化学结构式(Chemical Structure):
参考文献No.46018
标题:Polyprenylcarboxylic acid amides useful for treating liver dysfunction
作者:Yamatsu, I.; et al. (Eisai Co., Ltd.)
来源:BE 0884754; DE 3030462; FR 2463122; FR 2497802; GB 2058782; JP 8126852; JP 8132442; US 4456603
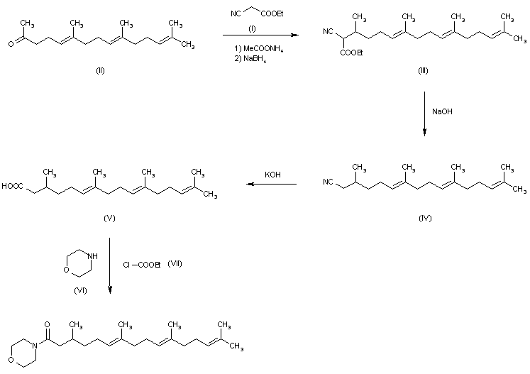
合成路线图解说明:

The condensation of ethyl cyanoacetate (I) with farnesylacetone (II) by means of acetic acid ammonium acetate in refluxing benzene gives ethyl 2-cyano-3,7,11,15-tetramethyl-6,10,14-hexadecatrienoate (III), which is decarbo-xylated with NaOH in propylene glycol at room temperature yielding 3,7,11,15-tetramethyl-6,10,14-hexadecatrienonitrile (IV). The hydrolysis of (IV) with KOH in propylene glycol water at 130 C affords 3,7,11,15-tetramethyl-6,10,14-hexa-decatrienoic acid (V), which is finally condensed with morpholine (VI) by means of ethyl chlorocarbonate (VII) and triethylamine in THF.

参考文献No.65743
标题:E-0712
作者:Serradell, M.N.; Casta馿r, J.
来源:Drugs Fut 1985,10(5),387
合成路线图解说明:

The condensation of ethyl cyanoacetate (I) with farnesylacetone (II) by means of acetic acid ammonium acetate in refluxing benzene gives ethyl 2-cyano-3,7,11,15-tetramethyl-6,10,14-hexadecatrienoate (III), which is decarbo-xylated with NaOH in propylene glycol at room temperature yielding 3,7,11,15-tetramethyl-6,10,14-hexadecatrienonitrile (IV). The hydrolysis of (IV) with KOH in propylene glycol water at 130 C affords 3,7,11,15-tetramethyl-6,10,14-hexa-decatrienoic acid (V), which is finally condensed with morpholine (VI) by means of ethyl chlorocarbonate (VII) and triethylamine in THF.

Drug Information Express,Drug R&D,Chemical Database,Patent Search.
Copyright © 2006-2026 Drug Future. All rights reserved.Contact Us