【药物名称】Brofaromine hydrochloride, CGP-11305A, Consonar
化学结构式(Chemical Structure):
参考文献No.46014
标题:Tetrahydropyridine and piperidine derivatives and processes for the preparation thereof
作者:Schenker, K.; Bernasconi, R. (Novartis AG)
来源:DE 2653147; ES 453582; FR 2332754; GB 1565055; JP 52065277
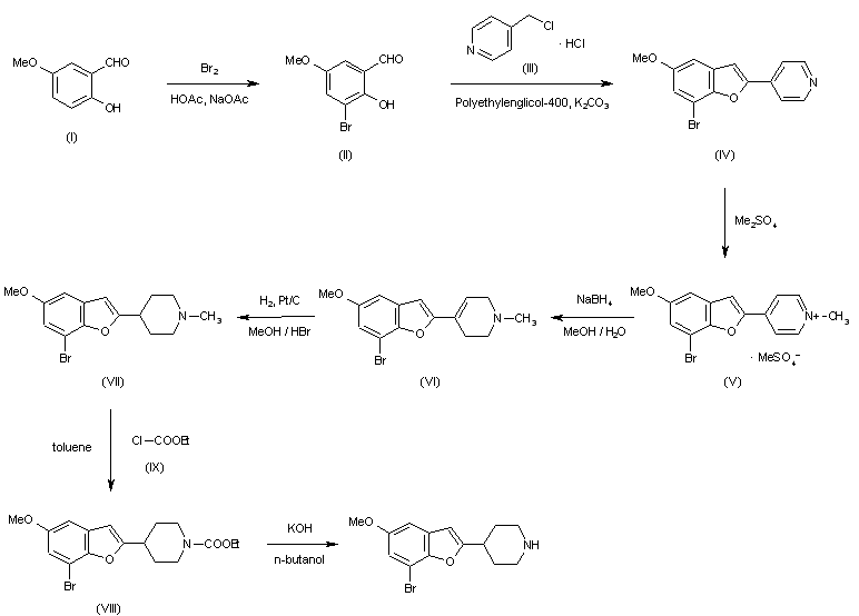
合成路线图解说明:

Bromination of 2-hydroxy-5-methoxybenzaldehyde (I) in acetic acid / sodium acetate mixture gives bromoaldehyde (II). Condensation to the benzofuranylpyridine (IV) is achieved by heating a solution of (II) and 4-(chloromethyl)pyridine hydrochloride (III) in polyethylene glycol-400 in the presence of potassium carbonate. Quaternization of (IV) with dimethylsulfate in dichloromethane affords (V), which upon reduction with sodium borohydride gives intermediate (VI). Reduction of (VI) with platinum on charcoal in methanol/HBr solution yields the N-methylpiperidine (VII). Degradation of the N-methyl group with ethylchloroformate in toluene affords the carbamate (VIII). Final treatment of (VIII) with potassium hydroxide in n-butanol yields the free base of brofaremine, which is converted to its hydrochloride salt by treatment with hydrochloric acid in methanol.

参考文献No.65802
标题:Brofaremine Hydrochloride
作者:Waldmeier, P.C.; Schilling, W.
来源:Drugs Fut 1985,10(5),371
合成路线图解说明:

Bromination of 2-hydroxy-5-methoxybenzaldehyde (I) in acetic acid / sodium acetate mixture gives bromoaldehyde (II). Condensation to the benzofuranylpyridine (IV) is achieved by heating a solution of (II) and 4-(chloromethyl)pyridine hydrochloride (III) in polyethylene glycol-400 in the presence of potassium carbonate. Quaternization of (IV) with dimethylsulfate in dichloromethane affords (V), which upon reduction with sodium borohydride gives intermediate (VI). Reduction of (VI) with platinum on charcoal in methanol/HBr solution yields the N-methylpiperidine (VII). Degradation of the N-methyl group with ethylchloroformate in toluene affords the carbamate (VIII). Final treatment of (VIII) with potassium hydroxide in n-butanol yields the free base of brofaremine, which is converted to its hydrochloride salt by treatment with hydrochloric acid in methanol.

Drug Information Express,Drug R&D,Chemical Database,Patent Search.
Copyright © 2006-2026 Drug Future. All rights reserved.Contact Us