【药物名称】Budipine hydrochloride, BY-701, Parkinsan
化学结构式(Chemical Structure):
参考文献No.42011
标题:Alkylsubstituierte piperidin-N-oxide, verfahren zu ihrer herstellung. Ihre verwendung und sie enthaltende Arzneimittel
作者:Shaefer, H.; et al. (Byk Gulden Lomberg Chemische Fabrik GmbH)
来源:DE 2825322
合成路线图解说明:

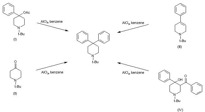
There are several synthetic pathways leading to title compound which are depicted in Scheme. Generally, 1-alkyl-4,4 diphenylpiperidines Iike budipine are accessible in a simple manner and with attractive yields by a regioselective reaction of piperidine derivatives such as (I), (II), (III) or, par ticularly, 3-aroyl-4-aryl-4-hydroxypiperidines (IV) with benzene under Friedel Crafts' conditions.

合成路线图解说明:

Condensation of 2-mercaptobenzothiazole (I) with isonicotinic acid hydrazide (INH) (II) in the presence of formaldehyde affords H-15 in 80% yield.

参考文献No.70137
标题:Budipine
作者:Koch, H.
来源:Drugs Fut 1985,10(8),621
合成路线图解说明:

There are several synthetic pathways leading to title compound which are depicted in Scheme. Generally, 1-alkyl-4,4 diphenylpiperidines Iike budipine are accessible in a simple manner and with attractive yields by a regioselective reaction of piperidine derivatives such as (I), (II), (III) or, par ticularly, 3-aroyl-4-aryl-4-hydroxypiperidines (IV) with benzene under Friedel Crafts' conditions.

参考文献No.556261
标题:Synthesis physical-chemical properties and pharmacologically-oriented screening studies on budipine and related 4,4-diphenylpiperidines
作者:Hackmack, S.H.; et al.
来源:Arzneim-Forsch Drug Res 1984,34(3),233
合成路线图解说明:

There are several synthetic pathways leading to title compound which are depicted in Scheme. Generally, 1-alkyl-4,4 diphenylpiperidines Iike budipine are accessible in a simple manner and with attractive yields by a regioselective reaction of piperidine derivatives such as (I), (II), (III) or, par ticularly, 3-aroyl-4-aryl-4-hydroxypiperidines (IV) with benzene under Friedel Crafts' conditions.

参考文献No.604966
标题:4,4-Diphenylpiperidines - A new class of potent central stimulants
作者:Schaefer, H.; Eistetter, K.; Klosa, J.; Menge, H.G.; Hackmack, G.
来源:5th Intl Symp Med Chem (July 19-22, Paris) 1976,Abst 052
合成路线图解说明:

There are several synthetic pathways leading to title compound which are depicted in Scheme. Generally, 1-alkyl-4,4 diphenylpiperidines Iike budipine are accessible in a simple manner and with attractive yields by a regioselective reaction of piperidine derivatives such as (I), (II), (III) or, par ticularly, 3-aroyl-4-aryl-4-hydroxypiperidines (IV) with benzene under Friedel Crafts' conditions.

Drug Information Express,Drug R&D,Chemical Database,Patent Search.
Copyright © 2006-2026 Drug Future. All rights reserved.Contact Us