【药物名称】Piritrexim, 301U74, NSC-351521, BW-301U
化学结构式(Chemical Structure):
参考文献No.62641
标题:BW-301 U
作者:Sigel, C.W.
来源:Drugs Fut 1985,10(2),108
合成路线图解说明:

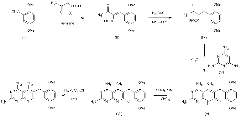
The reaction of 2,5-dimethoxybenzaldehyde (I) with ethyl acetoacetate (II) in a mixture of piperidine and glacial acetic acid in refluxing benzene gives ethyl alpha-acetyl-beta-(2,5-dimethoxyphenyl)acrylate (III), which is hydrogenated in a Parr low-pressure apparatus using 5% palladium on charcoal catalyst in ethyl acetate to yield ethyl alpha-acetyl-(2,5-dimethoxyphenyl)propionate (IV). The condensation of the propionate (IV) with 2,4.6-triaminopyrimidine in diphenylether at 195-230 C provides 2,4-diamino-7,8-dihydro-6-(2,5-dimethoxybenzyl)-5-methyl-7-oxopyrido[2,3-d]pyrimidine (VI). The key intermediate (VI) is converted to the 7-chloro compound (VII) by treatment with a 1:1 complex of N,N-dimethylformamide thionyl chloride, and finally (VII) is hydrogenolyzed with palladium on charcoal in the presence of potassium hydroxide to yield BW-301 U.

参考文献No.235621
标题:Synthesis of carbon-14 labelled piritrexim - A potential anticancer agent
作者:Wisowaty, J.C.; Darnofall, M.E.; Hill, J.A.
来源:J Label Compd Radiopharm 1993,33(12),1119
合成路线图解说明:

The synthesis of [14C]-labeled piritrexim has been described: The condensation of 2,5-dimethoxybenzaldehyde (I) with acetone in aqueous NaOH gives 4-(2,5-dimethoxyphenyl)-3-(E)-buten-2-one (II), which is hydrogenated with H2 over Pd/C in methanol to give 4-(2,5-dimethoxyphenyl)-2-butanone (III). The condensation of (III) with malononitrile (IV) by means of acetic acid-sodium acetate in refluxing toluene yields 2-cyano-5-(2,5-dimethoxyphenyl)-3-methyl-2-pentenenitrile (V), which is condensed with acetic acid diethoxymethyl ester (VI) at 105 C to afford the corresponding diethoxymethyl derivative (VII). The cyclization of (VII) with 32% HBr in acetic acid affords 2-bromo-5-(2,5-dimethoxybenzyl)-4-methylpyridine-3-carbonitrile (VIII), which is finally cyclized again with [14C]-labeled guanidine (IX) by means of NaH in refluxing tert-butyl alcohol.

参考文献No.579439
标题:Synthesis and antitumor activity of 2,4-diamino-6-(2,5-dimethoxybenzyl)-5-methylpyrido[2,3-d]pyrimidine
作者:Grivsky, E.M.; Lee, S.; Sigel, C.W.; Duch, D.S.; Nichol, C.A.
来源:J Med Chem 1980,23(3),327-329
合成路线图解说明:

The reaction of 2,5-dimethoxybenzaldehyde (I) with ethyl acetoacetate (II) in a mixture of piperidine and glacial acetic acid in refluxing benzene gives ethyl alpha-acetyl-beta-(2,5-dimethoxyphenyl)acrylate (III), which is hydrogenated in a Parr low-pressure apparatus using 5% palladium on charcoal catalyst in ethyl acetate to yield ethyl alpha-acetyl-(2,5-dimethoxyphenyl)propionate (IV). The condensation of the propionate (IV) with 2,4.6-triaminopyrimidine in diphenylether at 195-230 C provides 2,4-diamino-7,8-dihydro-6-(2,5-dimethoxybenzyl)-5-methyl-7-oxopyrido[2,3-d]pyrimidine (VI). The key intermediate (VI) is converted to the 7-chloro compound (VII) by treatment with a 1:1 complex of N,N-dimethylformamide thionyl chloride, and finally (VII) is hydrogenolyzed with palladium on charcoal in the presence of potassium hydroxide to yield BW-301 U.

Drug Information Express,Drug R&D,Chemical Database,Patent Search.
Copyright © 2006-2026 Drug Future. All rights reserved.Contact Us