【药物名称】Eticlopride hydrochloride, A-38503, FLB-131
化学结构式(Chemical Structure):
参考文献No.42024
标题:Benzamido-derivatives
作者:Florvall, G.L.; Lundstroem, J.O.G.; Raemsby, S.I.; Oegren, S.O. (AstraZeneca plc)
来源:DD 201886; EP 0060235; JP 57159762; US 4789683
合成路线图解说明:

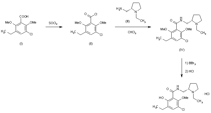
The reaction of 3-chloro-5-ethyl-2,6-dimethoxybenzoic acid (I) with SOCl2 gives the corresponding acyl chloride (II), which is condensed with N-ethyl-2-(aminomethyl)pyrrolidine (III) in refluxing CHCl3 yielding N-ethyl-2-(3-chloro-5-ethyl-2,6-dimethoxybenzamidomethyl)pyrrolidine (IV). Finally, this compound is treated with BBr3 in methylene chloride.

合成路线图解说明:

The reaction of 3,5-dichloro-6-methoxysaliclic acid (I) with refluxing SOCl2 gives the corresponding acyl chloride (II), which is condensed with 1-ethyl-2-(aminomethyl)pyrrolidine (III) in methylene chloride yielding the amide (IV). Finally, this compound is partially demethylated with BBr3 in methylene chloride ether.

参考文献No.65159
标题:Eticlopride Hydrochloride
作者:Serradell, M.N.; Casta馿r, J.
来源:Drugs Fut 1985,10(4),286
合成路线图解说明:

The reaction of 3-chloro-5-ethyl-2,6-dimethoxybenzoic acid (I) with SOCl2 gives the corresponding acyl chloride (II), which is condensed with N-ethyl-2-(aminomethyl)pyrrolidine (III) in refluxing CHCl3 yielding N-ethyl-2-(3-chloro-5-ethyl-2,6-dimethoxybenzamidomethyl)pyrrolidine (IV). Finally, this compound is treated with BBr3 in methylene chloride.

Drug Information Express,Drug R&D,Chemical Database,Patent Search.
Copyright © 2006-2026 Drug Future. All rights reserved.Contact Us