【药物名称】Ro-220654
化学结构式(Chemical Structure):
参考文献No.46023
标题:Novel thiophene derivatives
作者:Confalone, P.N.; Pizzolato, G.; Uskokovic, M.R.; Rouge, M. (Hoffmann-La Roche, Inc.)
来源:DE 2737738; US 4317915
合成路线图解说明:

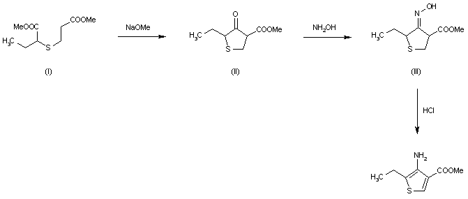
The cyclization of 2-ethyl-3-thia-1,6-hexanedioic acid 1-ethyl-6-methyl ester (I) by means of sodium methoxide in benzene gives methyl 2-ethyl-3-oxotetrahydrothiophene-4-carboxylate (II), which is treated with hydroxylamine in pyridine to afford the corresponding oxime (III). Finally, this compound is treated with dry HCl in ether.

参考文献No.65696
标题:RO-220654
作者:Thorpe, P.J.; Serradell, M.N.; Casta馿r, J.
来源:Drugs Fut 1985,10(5),407
合成路线图解说明:

The cyclization of 2-ethyl-3-thia-1,6-hexanedioic acid 1-ethyl-6-methyl ester (I) by means of sodium methoxide in benzene gives methyl 2-ethyl-3-oxotetrahydrothiophene-4-carboxylate (II), which is treated with hydroxylamine in pyridine to afford the corresponding oxime (III). Finally, this compound is treated with dry HCl in ether.

Drug Information Express,Drug R&D,Chemical Database,Patent Search.
Copyright © 2006-2026 Drug Future. All rights reserved.Contact Us