【药物名称】Tropesin, VUFB-12018, Repanidal
化学结构式(Chemical Structure):
参考文献No.40772
标题:2-Phenyl-2-carboxyethyl 1-(p-chlorobenzoyl)-5-methoxy-2-methyl-3-indolylacetate and process for preparation thereof
作者:Nemecek, O.; Fisnerova, L.; Grimova, J.; Roubal, Z. (SPOFA - United Pharmaceutical Works)
来源:US 4136194
合成路线图解说明:

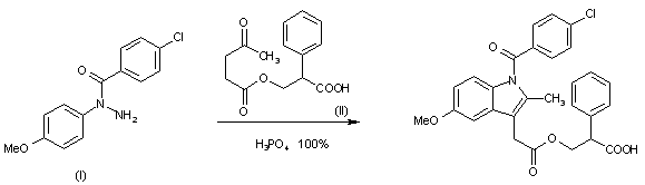
1) The reaction of N1-(4-chlorobenzoyl)-N1-(4-methoxyphenyl)hydrazine (I) [the starting material for the synthesis of indomethacin], with d,l-(2-carboxyethyl-2-phenyl)-4-oxopentanoate (II) under the conditions of Fischer indole synthesis by means of 100% phosphoric acid in toluene at 100 C. d,l-(2-Carboxyethyl-2-phenyl)-4-oxopentanoate (II) is obtained hy treatment of d,l-tropic acid with levulinic acid chloride.

合成路线图解说明:

2) The reaction of indomethacin (III) with thionyl chloride in hot toluene gives the corresponding acyl chloride (IV), which is then condensed with tropic acid (V) in refluxing toluene containing pyridine to afford title compound.

合成路线图解说明:

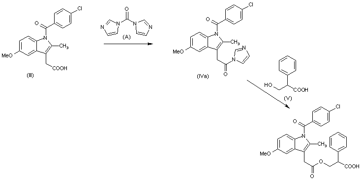
3) The treatment of indomethacin (III) with 1,1'-carbonyldiimidazole (A) at room temperature in dichloromethane affords the imidazolide (IVa), which is reacted with tropic acid (V) under the same mild conditions to afford title compound.

参考文献No.42003
标题:N-acyl-phenylhydrazine sulfamic acids and salts thereof
作者:Sletzinger, M.; Chemerda, J.M.; Summit, G.G. (Merck & Co., Inc.)
来源:DE 1643462; DE 1643463; DE 1768016; DE 1770022; FR 1540724; FR 1540725; GB 1161270; GB 1173986
合成路线图解说明:

1) The reaction of N1-(4-chlorobenzoyl)-N1-(4-methoxyphenyl)hydrazine (I) [the starting material for the synthesis of indomethacin], with d,l-(2-carboxyethyl-2-phenyl)-4-oxopentanoate (II) under the conditions of Fischer indole synthesis by means of 100% phosphoric acid in toluene at 100 C. d,l-(2-Carboxyethyl-2-phenyl)-4-oxopentanoate (II) is obtained hy treatment of d,l-tropic acid with levulinic acid chloride.

参考文献No.42017
标题:Method of producing 2-phenyl-2-carboxyethyl ester of levulinic acid
作者:Fisnerova, L.; Nemecek, O.
来源:CS 194283
合成路线图解说明:

1) The reaction of N1-(4-chlorobenzoyl)-N1-(4-methoxyphenyl)hydrazine (I) [the starting material for the synthesis of indomethacin], with d,l-(2-carboxyethyl-2-phenyl)-4-oxopentanoate (II) under the conditions of Fischer indole synthesis by means of 100% phosphoric acid in toluene at 100 C. d,l-(2-Carboxyethyl-2-phenyl)-4-oxopentanoate (II) is obtained hy treatment of d,l-tropic acid with levulinic acid chloride.

参考文献No.42018
标题:Method of producing 2-phenyl-2-carboxyethyl ester of 1-p-chlorobenzoyl-5-methoxy-2-methyl-3-indolyl acetic acid
作者:Fisnerova, L.; Nemecek, O.
来源:CS 194284
合成路线图解说明:

2) By condensation of 1-(3-chloro 2 hydroxypropyl)-2-nitroimidazole (III) with piperidine (IV) in refluxing methanol.

合成路线图解说明:

3) By condensation of 1-(2,3-epoxypropyl)-2 nitroimidazole (V) with (IV) in refluxing ethanol.

合成路线图解说明:

1) The reaction of N1-(4-chlorobenzoyl)-N1-(4-methoxyphenyl)hydrazine (I) [the starting material for the synthesis of indomethacin], with d,l-(2-carboxyethyl-2-phenyl)-4-oxopentanoate (II) under the conditions of Fischer indole synthesis by means of 100% phosphoric acid in toluene at 100 C. d,l-(2-Carboxyethyl-2-phenyl)-4-oxopentanoate (II) is obtained hy treatment of d,l-tropic acid with levulinic acid chloride.

参考文献No.71715
标题:Tropesin
作者:Fisnerov? L.
来源:Drugs Fut 1986,11(9),779
合成路线图解说明:

1) The reaction of N1-(4-chlorobenzoyl)-N1-(4-methoxyphenyl)hydrazine (I) [the starting material for the synthesis of indomethacin], with d,l-(2-carboxyethyl-2-phenyl)-4-oxopentanoate (II) under the conditions of Fischer indole synthesis by means of 100% phosphoric acid in toluene at 100 C. d,l-(2-Carboxyethyl-2-phenyl)-4-oxopentanoate (II) is obtained hy treatment of d,l-tropic acid with levulinic acid chloride.

合成路线图解说明:

2) The reaction of indomethacin (III) with thionyl chloride in hot toluene gives the corresponding acyl chloride (IV), which is then condensed with tropic acid (V) in refluxing toluene containing pyridine to afford title compound.

合成路线图解说明:

3) The treatment of indomethacin (III) with 1,1'-carbonyldiimidazole (A) at room temperature in dichloromethane affords the imidazolide (IVa), which is reacted with tropic acid (V) under the same mild conditions to afford title compound.

参考文献No.135079
标题:Pharmacologically interesting indomethacin derivatives
作者:Fisnerova, L.; et al.
来源:Cesk Farm 1977,26(6),227-31
合成路线图解说明:

2) The reaction of indomethacin (III) with thionyl chloride in hot toluene gives the corresponding acyl chloride (IV), which is then condensed with tropic acid (V) in refluxing toluene containing pyridine to afford title compound.

合成路线图解说明:

3) The treatment of indomethacin (III) with 1,1'-carbonyldiimidazole (A) at room temperature in dichloromethane affords the imidazolide (IVa), which is reacted with tropic acid (V) under the same mild conditions to afford title compound.

参考文献No.605129
标题:Pharmacologically interesting derivatives of indomethacin
作者:Grimova, J.; Rabek, V.; Roubal, Z.; Fisnerov? L.
来源:Cesk Farm 1977,26277
合成路线图解说明:

1) The reaction of N1-(4-chlorobenzoyl)-N1-(4-methoxyphenyl)hydrazine (I) [the starting material for the synthesis of indomethacin], with d,l-(2-carboxyethyl-2-phenyl)-4-oxopentanoate (II) under the conditions of Fischer indole synthesis by means of 100% phosphoric acid in toluene at 100 C. d,l-(2-Carboxyethyl-2-phenyl)-4-oxopentanoate (II) is obtained hy treatment of d,l-tropic acid with levulinic acid chloride.

Drug Information Express,Drug R&D,Chemical Database,Patent Search.
Copyright © 2006-2026 Drug Future. All rights reserved.Contact Us