【药物名称】Spirohydantoin mustard(former USAN), Spiromustine, SHM, NSC-172112, Speratine
化学结构式(Chemical Structure):
参考文献No.71737
标题:Spiromustine
作者:Prous, J.; Casta馿r, J.
来源:Drugs Fut 1986,11(9),773
合成路线图解说明:

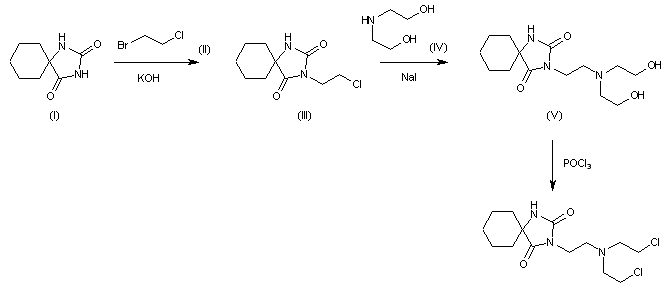
The alkylation of 5,5-pentamethylenehydantoin (I) with 1-bromo-2-chloroethane (II) by means of KOH in refluxing ethanol gives 3-(2-chloroethyl)-5,5-pentamethylenehydantoin (II), which is condensed with diethanolamine (IV) by means of NaI in hot DMF yielding 3-[2-[bis(2 hydroxyethyl)amino]ethyl] 5,5-pentamethylenehydantoin (V) Finally, this compound is treated with hot POCl3.

参考文献No.555582
标题:Potential central nervous system antitumor agents. Hydantoin derivatives
作者:Peng, G.W.; Marquez, V.E.; Driscoll, J.S.
来源:J Med Chem 1975,18(8),846
合成路线图解说明:

The alkylation of 5,5-pentamethylenehydantoin (I) with 1-bromo-2-chloroethane (II) by means of KOH in refluxing ethanol gives 3-(2-chloroethyl)-5,5-pentamethylenehydantoin (II), which is condensed with diethanolamine (IV) by means of NaI in hot DMF yielding 3-[2-[bis(2 hydroxyethyl)amino]ethyl] 5,5-pentamethylenehydantoin (V) Finally, this compound is treated with hot POCl3.

Drug Information Express,Drug R&D,Chemical Database,Patent Search.
Copyright © 2006-2026 Drug Future. All rights reserved.Contact Us