【药物名称】Rosaprostol sodium, IBI-C83, Rosal
化学结构式(Chemical Structure):
参考文献No.42013
标题:19,20-Bis-nor-prostanoic acids, process for their preparation and pharmaceutical compsns. containing them
作者:Valcavi, U. (Dr. Madaus; Istituto Biochimico Italiano Giovanni Lorenzini SpA)
来源:DE 2535343
合成路线图解说明:

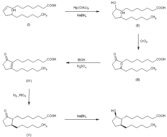
The reaction of ricinoleic acid (I) with mercuric acetate - NaOH in THF - water gives 9,12 dihydroxyoctadecanoic acid (II), which by oxidation with CrO3 in H2SO4-water affords 9,12-dioxooctadecanoic acid (III) The cyclization of (III) with NaOH in refluxing ethanol-water yields 9-oxo-19,20-dinor-8(12)-prostenoic acid (IV), which is hydrogenated with H2 over PtO2 in acetic acid to give 9-oxo-19,20-dinorprostanoic acid (V). Finally, this compound is reduced again with NaBH4 in methanol, and treated with NaOH.

参考文献No.49450
标题:Rosaprostol sodium
作者:Casta馿r, J.; Prous, J.
来源:Drugs Fut 1986,11(8),666
合成路线图解说明:

The reaction of ricinoleic acid (I) with mercuric acetate - NaOH in THF - water gives 9,12 dihydroxyoctadecanoic acid (II), which by oxidation with CrO3 in H2SO4-water affords 9,12-dioxooctadecanoic acid (III) The cyclization of (III) with NaOH in refluxing ethanol-water yields 9-oxo-19,20-dinor-8(12)-prostenoic acid (IV), which is hydrogenated with H2 over PtO2 in acetic acid to give 9-oxo-19,20-dinorprostanoic acid (V). Finally, this compound is reduced again with NaBH4 in methanol, and treated with NaOH.

参考文献No.482951
标题:Synthesis of (?-rosaprostol
作者:Mikolajczyk, M.; Zurawinski, R.
来源:J Org Chem 1998,63(24),8894
合成路线图解说明:

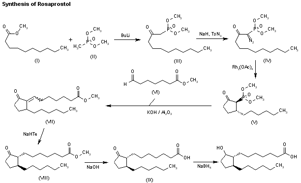
A new synthesis of racemic rosaprostol has been reported: The condensation of methyl decanoate (I) with dimethyl methylphosphonate (II) by means of butyllithium in THF gives dimethyl 2-oxoundecylphosphonate (III), which is treated with tosyl azide and NaH in benzene/THF yielding the alpha-diazo compound (IV). The cyclization of (IV) by means of rhodium acetate in refluxing dichloromethane affords trans-2-(dimethoxyphosphoryl)-3-hexylcyclopentanone (V), which is condensed with methyl 6-formylhexanoate (VI) by means of NaOH/Al2O3 in benzene giving methyl 6-(2-hexyl-5-oxocyclopentylidene)hexanoate (VII). The selective reduction of (VII) with sodium tellurohydride (NaHTe) in ethanol gives the saturated ester (VIII), which is hydrolyzed with NaOH in hot ethanol yielding the corresponding free acid (IX). Finally, this compound is reduced to the target compound with NaBH4 in methanol.

参考文献No.588994
标题:A new synthesis of racemic rosaprostol
作者:Jankowiak, A.; Mikina, M.; Mikoajczyk, M.; Mphaphlele, M.J.
来源:Synthesis 2000,(8),1075
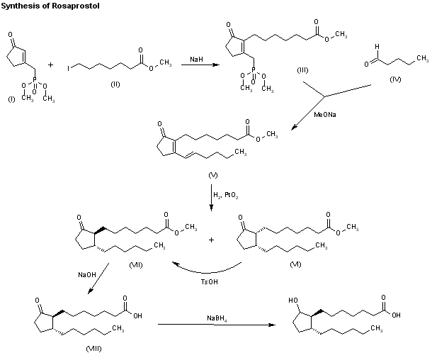
合成路线图解说明:

A new synthesis of rosaprostol has been developed: Reaction of 3-(dimethoxyphosphorylmethyl)-2-cyclopenten-1-one (I) with 7-iodoheptanoic acid methyl ester (II) by means of NaH in DMSO gives the C-2 alkylated cyclopentenone (III), which is condensed with pentanal (IV) by means of NaOMe in methanol to yield the dienone (V). Reduction of the double bonds of (V) with H2 over PtO2 in acetic acid affords a mixture of the cis- and trans-cyclopentanones (VI) and (VII) which, without isolation, is submitted to epimerization with TsOH in methanol to furnish almost quantitatively the desired trans-isomer (VII). The hydrolysis of the methyl ester of (VII) with NaOH in dioxane/water gives the corresponding carboxylic acid (VIII), which is finally hydrogenated with NaBH4 in methanol.

参考文献No.700228
标题:Synthesis of some derivatives of 19,20-dinorprostanoic acid
作者:Valcavi, U.; et al.
来源:Farm Sci Ed 1975,30(7),527
合成路线图解说明:

The reaction of ricinoleic acid (I) with mercuric acetate - NaOH in THF - water gives 9,12 dihydroxyoctadecanoic acid (II), which by oxidation with CrO3 in H2SO4-water affords 9,12-dioxooctadecanoic acid (III) The cyclization of (III) with NaOH in refluxing ethanol-water yields 9-oxo-19,20-dinor-8(12)-prostenoic acid (IV), which is hydrogenated with H2 over PtO2 in acetic acid to give 9-oxo-19,20-dinorprostanoic acid (V). Finally, this compound is reduced again with NaBH4 in methanol, and treated with NaOH.

Drug Information Express,Drug R&D,Chemical Database,Patent Search.
Copyright © 2006-2026 Drug Future. All rights reserved.Contact Us