【药物名称】Sarafloxacin hydrochloride, A-57135(free base), A-56620, ABBOTT-56620, Saraflox
化学结构式(Chemical Structure):
参考文献No.73591
标题:Abbott-56620
作者:Chu, D.T.W.; Fernandes, P.B.; Granneman, G.R.
来源:Drugs Fut 1985,10(7),546
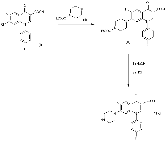
合成路线图解说明:

Condensation of 7-chloro-1-(p-fluorophenyl)-6-fluoro-1,4-dihydro-4-oxoquinoline-3 carboxylic acid (I) with N-carboethoxypiperazine (II) in hot 1-methyl-2-pyrrolidinone yields 7-(4-carboethoxypiperazinyl)-1-(p-fluorophenyl)-6-fluoro-1,4-dihydro-4 oxoquinoline-3-carboxylic acid (III). Hydrolysis of (III) with aqueous sodium hydroxide in ethanol followed by treatment with dilute hydrochloric acid gives A-56620.

参考文献No.604967
标题:A-56619 and A-56620: Synthesis and antibacterial activities of the novel aryl-fluoro-quinolones and their analogs
作者:Clairbone, A.K.; Pihuleac, E.; Nordeen, C.; Fernandes, P.B.; Pernet, A.; Chu, D.T.W.; O'Donell, T.J.
来源:24th Intersci Conf Antimicrob Agents Chemother (Oct 8-10, Washington, D.C) 1984,Abs 72
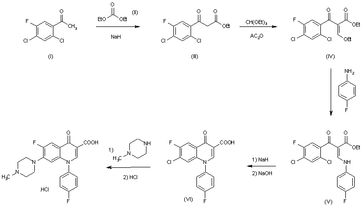
合成路线图解说明:

Condensation of 2,4-dichoro-5-fluoroacetophenone (I) with diethyicarbonate (II) in the presence of sodium hydride gives ethyl 2,4-dichloro-5-fluorobenzoylacetate (III). The condensation of (III) with triethylorthoformate in reftuxing acetic anhydride yields ethyl 2-(2,4-dichloro-5-fluornbenzoyl)-3-ethoxyacrylate (IV), which is treated with p-fluoroaniline in methylene chloride to yield ethyl 2-(2,4-dichloro-5-fluorobenzoyl)-3-(p-fluoroanilino)acrylate (V). Cyclization of (V) with sodium hydride in tetrahydrofuran followed by hydrolysis yields 7-chloro-1-(p-fluorophenyl)-8 fluoro-1,4-dihydro-4-oxoquinoline-3-carboxylic acid (VI). Condensation of (VI) with N-methylpiperazine in 1-methyl-2-pyrrolidinone followed by treatment with hydrochloric acid yields A-56619.

合成路线图解说明:

Condensation of 7-chloro-1-(p-fluorophenyl)-6-fluoro-1,4-dihydro-4-oxoquinoline-3 carboxylic acid (I) with N-carboethoxypiperazine (II) in hot 1-methyl-2-pyrrolidinone yields 7-(4-carboethoxypiperazinyl)-1-(p-fluorophenyl)-6-fluoro-1,4-dihydro-4 oxoquinoline-3-carboxylic acid (III). Hydrolysis of (III) with aqueous sodium hydroxide in ethanol followed by treatment with dilute hydrochloric acid gives A-56620.

Drug Information Express,Drug R&D,Chemical Database,Patent Search.
Copyright © 2006-2026 Drug Future. All rights reserved.Contact Us