【药物名称】Flestolol sulfate, ACC-9089
化学结构式(Chemical Structure):
参考文献No.67198
标题:ACC-9089
作者:Day, B.W.; Pento, J.T.
来源:Drugs Fut 1985,10(6),447
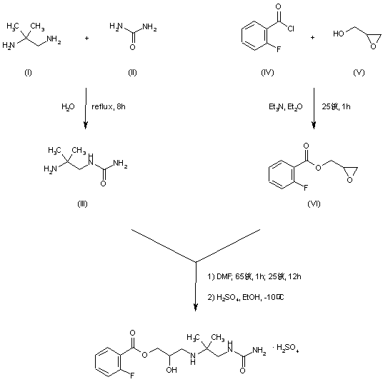
合成路线图解说明:

The condensation in DMF of 1,1-dimethyl-2-[(aminocarbonyl)amino]ethylamine (III) [prepared from 1,2-diamino-2-methylpropane (I) and urea (II)] and 2,3-epoxypropyl o-fluorobenzoate (VI) [prepared from o-fluorobenzoyl chloride (VI) and glycidol (V) in diethyl ether using triethylamine as a proton scavenger], followed by salt formation using 98% sulfuric acid in ethanol yields ACC-9089.

参考文献No.608344
标题:[(Arylcarbonyl)oxy]propanolamines. 1. Novel beta-blockers with ultrashort duration of action
作者:Kam, S.T.; Matier, W.L.; Mai, K.X.; Barcelon-Yang, C.; Borgman, R.J.; O'Donnel, J.P.; Sum, C.Y.; Anderson, W.G.; Gorczynski, R.J.; et al.
来源:J Med Chem 1984,27(8),1007
合成路线图解说明:

The condensation in DMF of 1,1-dimethyl-2-[(aminocarbonyl)amino]ethylamine (III) [prepared from 1,2-diamino-2-methylpropane (I) and urea (II)] and 2,3-epoxypropyl o-fluorobenzoate (VI) [prepared from o-fluorobenzoyl chloride (VI) and glycidol (V) in diethyl ether using triethylamine as a proton scavenger], followed by salt formation using 98% sulfuric acid in ethanol yields ACC-9089.

Drug Information Express,Drug R&D,Chemical Database,Patent Search.
Copyright © 2006-2026 Drug Future. All rights reserved.Contact Us