【药物名称】Flavodilol maleate, PR-87730L
化学结构式(Chemical Structure):
参考文献No.1048
标题:Antihypertensive agents
作者:Wu, E.S.-C. (Pennwalt Corp.)
来源:EP 0064165; US 4501755
合成路线图解说明:

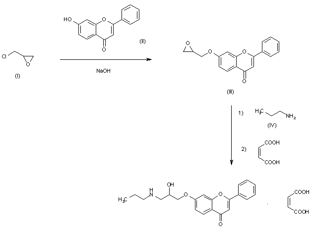
The condensation of epichlorohydrin (I) with 7-hydroxyflavone (II) by means of NaOH in ethanol - water gives 7-(2,3-epoxypropoxy)fIavone (III), which is then treated with propylamine (IV) in methanol, and neutralized with maleic acid.

参考文献No.61906
标题:Flavodilol maleate
作者:Casta馿r, J.; Prous, J.
来源:Drugs Fut 1986,11(10),837
合成路线图解说明:

The condensation of epichlorohydrin (I) with 7-hydroxyflavone (II) by means of NaOH in ethanol - water gives 7-(2,3-epoxypropoxy)fIavone (III), which is then treated with propylamine (IV) in methanol, and neutralized with maleic acid.

Drug Information Express,Drug R&D,Chemical Database,Patent Search.
Copyright © 2006-2026 Drug Future. All rights reserved.Contact Us