【药物名称】Anirolac, RS-37326
化学结构式(Chemical Structure):
参考文献No.137
标题:Imidazoyl-substd. thiomethylpyridine derivs., method of administration thereof and medicaments containing them
作者:Engler, H.; Schickaneder, H.; Szelenyi, I. (Heumann Pharma GmbH & Co.)
来源:DE 3216843; EP 0093252; US 4810715
合成路线图解说明:

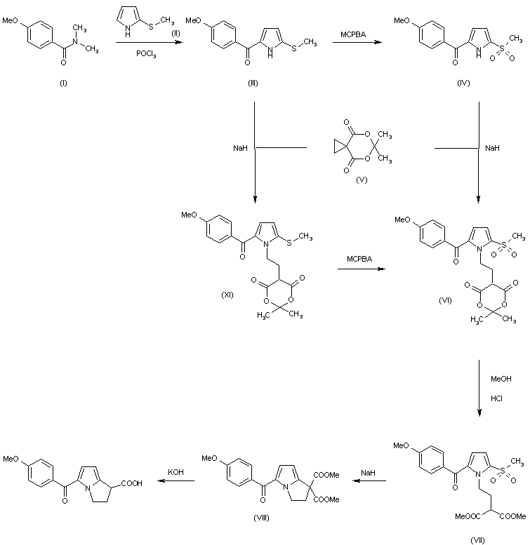
This compound can be obtained in the following way: 1) The reaction of N,N-dimethyl 4-methoxybenzamide (I) with 2-(methylthio)pyrrole) (II) by means of POCl3 in refluxing dichloromethane gives 5-(4-methoxyhenzoyl)-2-(methylthio)pyrrole (III), which is oxidized with m-chloroperbenzoic acid in dichloromethane to the corresponding sulfone (IV). The condensation of (IV) with 5,5-dimethylene-2,2-dimethyl-1,3-dioxane-4,6-dione (V) by means of NaH in hot DMF affords the intermediate compound (VI), which by methanolysis with methanol and HCl is converted to 5-(4 methoxybenzoy)-1-[3,3-di-(methoxycarbonyl)propyl]-2-(methylsulfonyl)pyrrole (VII). The cyclization of (VII) by means of NaH in hot DMF gives dimethyl-5-(4-methoxybenzoyl)-1,2-dihydro-3H-pyrrolo[1,2-a]pyrrole-1,1-dicarboxylate (VIII), which is finally hydrolyzed and decarboxylated with KOH in refluxing methanol-water.

合成路线图解说明:

By condensation of 3-(chloromethyl)pyridine (I) with 2-mercaptopyrimidine (II) in ethanol-water at room temperature.

参考文献No.41890
标题:Process for preparing 5-aroyl-1,2-dihydro-3H-pyrrolo[1,2-a]pyrrole-1-carboxylic acids and novel intermediates therein
作者:Muchowski, J.M.; Greenhouse, R. (Roche Bioscience)
来源:US 4347186
合成路线图解说明:

This compound can be obtained in the following way: 1) The reaction of N,N-dimethyl 4-methoxybenzamide (I) with 2-(methylthio)pyrrole) (II) by means of POCl3 in refluxing dichloromethane gives 5-(4-methoxyhenzoyl)-2-(methylthio)pyrrole (III), which is oxidized with m-chloroperbenzoic acid in dichloromethane to the corresponding sulfone (IV). The condensation of (IV) with 5,5-dimethylene-2,2-dimethyl-1,3-dioxane-4,6-dione (V) by means of NaH in hot DMF affords the intermediate compound (VI), which by methanolysis with methanol and HCl is converted to 5-(4 methoxybenzoy)-1-[3,3-di-(methoxycarbonyl)propyl]-2-(methylsulfonyl)pyrrole (VII). The cyclization of (VII) by means of NaH in hot DMF gives dimethyl-5-(4-methoxybenzoyl)-1,2-dihydro-3H-pyrrolo[1,2-a]pyrrole-1,1-dicarboxylate (VIII), which is finally hydrolyzed and decarboxylated with KOH in refluxing methanol-water.

参考文献No.67134
标题:Anirolac
作者:Prous, J.; Casta馿r, J.
来源:Drugs Fut 1986,11(6),449
合成路线图解说明:

This compound can be obtained in the following way: 1) The reaction of N,N-dimethyl 4-methoxybenzamide (I) with 2-(methylthio)pyrrole) (II) by means of POCl3 in refluxing dichloromethane gives 5-(4-methoxyhenzoyl)-2-(methylthio)pyrrole (III), which is oxidized with m-chloroperbenzoic acid in dichloromethane to the corresponding sulfone (IV). The condensation of (IV) with 5,5-dimethylene-2,2-dimethyl-1,3-dioxane-4,6-dione (V) by means of NaH in hot DMF affords the intermediate compound (VI), which by methanolysis with methanol and HCl is converted to 5-(4 methoxybenzoy)-1-[3,3-di-(methoxycarbonyl)propyl]-2-(methylsulfonyl)pyrrole (VII). The cyclization of (VII) by means of NaH in hot DMF gives dimethyl-5-(4-methoxybenzoyl)-1,2-dihydro-3H-pyrrolo[1,2-a]pyrrole-1,1-dicarboxylate (VIII), which is finally hydrolyzed and decarboxylated with KOH in refluxing methanol-water.

参考文献No.700283
标题:Novel syntheses of 5-aroyl-1,2-dihydro-3H-pyrrole-1-carboxilic acids
作者:Greenhouse, R.; Franco, F.
来源:J Org Chem 1982,471682
合成路线图解说明:

This compound can be obtained in the following way: 1) The reaction of N,N-dimethyl 4-methoxybenzamide (I) with 2-(methylthio)pyrrole) (II) by means of POCl3 in refluxing dichloromethane gives 5-(4-methoxyhenzoyl)-2-(methylthio)pyrrole (III), which is oxidized with m-chloroperbenzoic acid in dichloromethane to the corresponding sulfone (IV). The condensation of (IV) with 5,5-dimethylene-2,2-dimethyl-1,3-dioxane-4,6-dione (V) by means of NaH in hot DMF affords the intermediate compound (VI), which by methanolysis with methanol and HCl is converted to 5-(4 methoxybenzoy)-1-[3,3-di-(methoxycarbonyl)propyl]-2-(methylsulfonyl)pyrrole (VII). The cyclization of (VII) by means of NaH in hot DMF gives dimethyl-5-(4-methoxybenzoyl)-1,2-dihydro-3H-pyrrolo[1,2-a]pyrrole-1,1-dicarboxylate (VIII), which is finally hydrolyzed and decarboxylated with KOH in refluxing methanol-water.

Drug Information Express,Drug R&D,Chemical Database,Patent Search.
Copyright © 2006-2026 Drug Future. All rights reserved.Contact Us