【药物名称】Ridazolol
化学结构式(Chemical Structure):
参考文献No.42027
标题:N-phenoxypropanol-N'-pyridazinyl ethylendiamines as beta -receptor blockers
作者:Raabe, T.; Bohn, H.; Martorana, P.A.; Nitz, R.-E. (Cassella AG)
来源:DD 202013; DE 3048487; EP 54946; JP 57128677; US 4532239
合成路线图解说明:

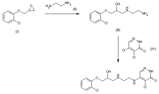
The condensation of 2-glycidyloxy-1-chlorobenzene (I) with ethylenediamine (II) in refluxing ethanol gives N-[3-(2-chlorophenoxy)-2-hydroxy propyl]ethylenediamine (III), which is then condensed with 4,5-dichloropyridazinone (IV) in refluxing ethanol.

参考文献No.79481
标题:Ridazolol
作者:Casta馿r, J.; Prous, J.
来源:Drugs Fut 1986,11(12),1044
合成路线图解说明:

The condensation of 2-glycidyloxy-1-chlorobenzene (I) with ethylenediamine (II) in refluxing ethanol gives N-[3-(2-chlorophenoxy)-2-hydroxy propyl]ethylenediamine (III), which is then condensed with 4,5-dichloropyridazinone (IV) in refluxing ethanol.

Drug Information Express,Drug R&D,Chemical Database,Patent Search.
Copyright © 2006-2026 Drug Future. All rights reserved.Contact Us