【药物名称】Enalaprilat, MK-422, Renitec, Vasotec I.V.
化学结构式(Chemical Structure):
参考文献No.40769
标题:Carboxyalkyl dipeptide derivs., process for preparing them and pharmaceutical compsn. containing them
作者:Wyvratt, M.J.; Harris, E.E.; Patchett, A.A.; Tristram, E.W. (Merck & Co., Inc.)
来源:EP 0012401
合成路线图解说明:

by reductocondensation of 4-phenyl-2-oxo butyric acid (IX) with L-alanyl-L-proline (IV) by means of sodium cyanoborohydride and NaOH in water.

合成路线图解说明:

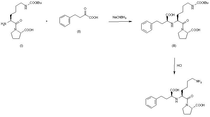
The reductocondensation of N(epsilon)-tert-butoxycarbonyl-lysyl proline (I) with 2-oxobutyric acid (II) by means of sodium cyanoborohydride in water gives the protected compound (III), which is finally treated with HCl in ethyl acetate.

参考文献No.42818
标题:Improved stereoselective process for enalapril
作者:Reider, P.J.; Huffman, M.A.; Leblond, C.; Sun, Y. (Merck & Co., Inc.)
来源:WO 0017228
合成路线图解说明:

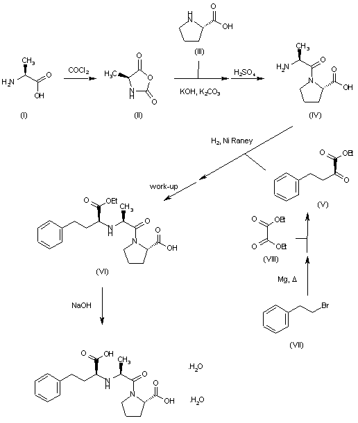
Treatment of alanine (I) with phosgene in THF provides N-carboxyanhydride derivative (II), which is then coupled to proline (III) by means of KOH and K2CO3 in THF/H2O or acetonitrile to provide dipeptide (IV). Coupling of (IV) to ethyl 2-oxo-4-phenylbutyrate (V) by means of H2 over Raney-Ni in EtOH (or EtOH/HOAc), followed by the corresponding work-up for isomer separation, yields derivative (VI). (In turn, ketoester (V) can be obtained by treatment of 2-phenylethyl bromide (VII) with Mg turnings in refluxing THF, followed by reaction of the resulting Grignard reagent with diethyl oxalate (VIII) in THF). Finally, the desired product is obtained by saponification of the ethyl ester group of (VI) with NaOH.

参考文献No.45331
标题:Amino acid derivs. as antihypertensives
作者:Tristram, E.W.; Patchett, A.A.; Harris, E.E.; Wyvratt, M.J. (Merck & Co., Inc.)
来源:US 4472380
合成路线图解说明:

by reductocondensation of 4-phenyl-2-oxo butyric acid (IX) with L-alanyl-L-proline (IV) by means of sodium cyanoborohydride and NaOH in water.

参考文献No.49441
标题:Enalaprilat
作者:Prous, J.; Casta馿r, J.
来源:Drugs Fut 1986,11(8),647
合成路线图解说明:

by reductocondensation of 4-phenyl-2-oxo butyric acid (IX) with L-alanyl-L-proline (IV) by means of sodium cyanoborohydride and NaOH in water.

参考文献No.53329
标题:Process for preparing polypeptides
作者:Blacklock, T.J.; Shuman, R.F. (Merck & Co., Inc.)
来源:US 4510083
合成路线图解说明:

Treatment of alanine (I) with phosgene in THF provides N-carboxyanhydride derivative (II), which is then coupled to proline (III) by means of KOH and K2CO3 in THF/H2O or acetonitrile to provide dipeptide (IV). Coupling of (IV) to ethyl 2-oxo-4-phenylbutyrate (V) by means of H2 over Raney-Ni in EtOH (or EtOH/HOAc), followed by the corresponding work-up for isomer separation, yields derivative (VI). (In turn, ketoester (V) can be obtained by treatment of 2-phenylethyl bromide (VII) with Mg turnings in refluxing THF, followed by reaction of the resulting Grignard reagent with diethyl oxalate (VIII) in THF). Finally, the desired product is obtained by saponification of the ethyl ester group of (VI) with NaOH.

参考文献No.651023
标题:Synthesis of semisynthetic dipeptides using N-carboxyanhydrides and chiral induction on Raney nickel. A method practical for large scale
作者:Blacklock, T.J.; et al.
来源:J Org Chem 1988,53(4),836
合成路线图解说明:

Treatment of alanine (I) with phosgene in THF provides N-carboxyanhydride derivative (II), which is then coupled to proline (III) by means of KOH and K2CO3 in THF/H2O or acetonitrile to provide dipeptide (IV). Coupling of (IV) to ethyl 2-oxo-4-phenylbutyrate (V) by means of H2 over Raney-Ni in EtOH (or EtOH/HOAc), followed by the corresponding work-up for isomer separation, yields derivative (VI). (In turn, ketoester (V) can be obtained by treatment of 2-phenylethyl bromide (VII) with Mg turnings in refluxing THF, followed by reaction of the resulting Grignard reagent with diethyl oxalate (VIII) in THF). Finally, the desired product is obtained by saponification of the ethyl ester group of (VI) with NaOH.

Drug Information Express,Drug R&D,Chemical Database,Patent Search.
Copyright © 2006-2026 Drug Future. All rights reserved.Contact Us