【药物名称】Nocloprost, ZK 94 726, ZK-84726
化学结构式(Chemical Structure):
参考文献No.39864
标题:Pharmaceutically active 9-chloroprostaglandins
作者:Elger, W.; Loge, O.; Skuballa, W.; Vorbr黦gen, H.; Radb點hel, B.; Schillinger, E. (Schering AG)
来源:DE 2950027; US 4444788; US 5079259
合成路线图解说明:

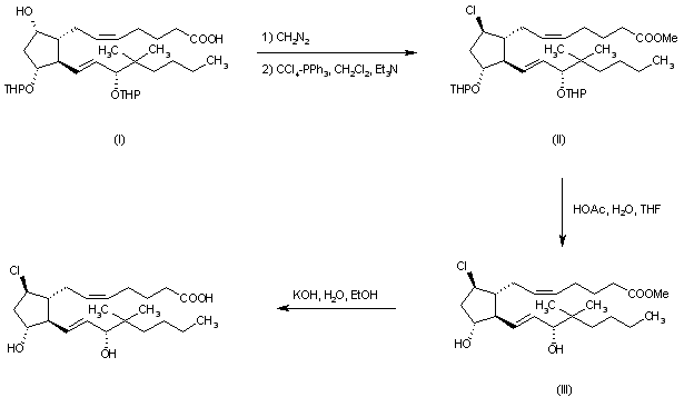
Esterification of 16,16-dimethyl-PGF2alpha 11,15-bistetrahydropyranyl ether (I) with diazomethane followed by chlorination with tetrachloromethane and triphenylphosphine in the presence of triethylamine afforded the 9beta-chloro intermediate (II). Deprotection with acetic acid yielded the 11,15 diol (III), which was finally converted to nocloprost by treatment with potassium hydroxide in ethanol-water.

参考文献No.73590
标题:Nocloprost
作者:Losert, W.; et al.
来源:Drugs Fut 1988,13(10),926
合成路线图解说明:

Esterification of 16,16-dimethyl-PGF2alpha 11,15-bistetrahydropyranyl ether (I) with diazomethane followed by chlorination with tetrachloromethane and triphenylphosphine in the presence of triethylamine afforded the 9beta-chloro intermediate (II). Deprotection with acetic acid yielded the 11,15 diol (III), which was finally converted to nocloprost by treatment with potassium hydroxide in ethanol-water.

参考文献No.700001
标题:Tertiares Phosphan/Tetrachlormethan, ein vielseitiges Reagenz zur Chlorierung, Dehydratisierung und PN-Verknupfung
作者:Appel, R.
来源:Angew Chem 1975,166(87),863
合成路线图解说明:

Esterification of 16,16-dimethyl-PGF2alpha 11,15-bistetrahydropyranyl ether (I) with diazomethane followed by chlorination with tetrachloromethane and triphenylphosphine in the presence of triethylamine afforded the 9beta-chloro intermediate (II). Deprotection with acetic acid yielded the 11,15 diol (III), which was finally converted to nocloprost by treatment with potassium hydroxide in ethanol-water.

参考文献No.700003
标题:Synthesis and biological properties of 16,16-alkylprostaglandins
作者:Magerlein, B.J.; Ducharme, D.W.; Magee, W.E.; Miller, W.L.; Robert, A.; Weels, J.R.
来源:Prostaglandins 1973,16(4),143
合成路线图解说明:

Esterification of 16,16-dimethyl-PGF2alpha 11,15-bistetrahydropyranyl ether (I) with diazomethane followed by chlorination with tetrachloromethane and triphenylphosphine in the presence of triethylamine afforded the 9beta-chloro intermediate (II). Deprotection with acetic acid yielded the 11,15 diol (III), which was finally converted to nocloprost by treatment with potassium hydroxide in ethanol-water.

Drug Information Express,Drug R&D,Chemical Database,Patent Search.
Copyright © 2006-2026 Drug Future. All rights reserved.Contact Us