【药物名称】Chlorocitrate, Ro-21-7716
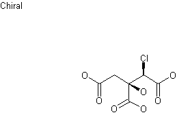
化学结构式(Chemical Structure):
参考文献No.41896
标题:Chlorocitric acids
作者:Guthrie, R.W.; Kierstead, R.W.; Mennona, F.A.; Sullivan, A.C. (Hoffmann-La Roche, Inc.)
来源:JP 1010496B; JP 1528137C; JP 55089243; US 4312885
合成路线图解说明:

The dipotassium salt of trans-aconitic acid (I) is oxidized in aqueous solution at low temperature using KOCl to give the tripotassium salt of (+)-threo-chlorocitric acid (II), which is converted in situ to (+)-threo-epoxyaconitic acid, tripotassium salt (III) with the addition of KOH. This material is isolated from the reaction mixture as its monopotassium salt (IV), which crystallizes from solution after the addition of two equivalents of HCl. The monopotassium salt is then treated with one equivalent of H2SO4 in acetone yielding (+)-threo-epoxyaconitic acid (V), which in turn is resolved via its bis((S)-alpha-methyl-p-nitrobenzylamine salt) (VI). The salt is split using ethereal HCl or HCl in ethyl acetate yielding (+)-threo-epoxyaconitic acid (VII). Treatment of (VII) with HCl and NaCl in aqueous solution at 70 C furnishes (+)-threo-chlorocitric acid, which, after isolation from the reaction mixture, is purified by crystallization from acetonitrile.

参考文献No.79484
标题:Chlorocitrate
作者:Nauss-Karol, C.; Sullivan, A.C.
来源:Drugs Fut 1986,11(12),1020
合成路线图解说明:

The dipotassium salt of trans-aconitic acid (I) is oxidized in aqueous solution at low temperature using KOCl to give the tripotassium salt of (+)-threo-chlorocitric acid (II), which is converted in situ to (+)-threo-epoxyaconitic acid, tripotassium salt (III) with the addition of KOH. This material is isolated from the reaction mixture as its monopotassium salt (IV), which crystallizes from solution after the addition of two equivalents of HCl. The monopotassium salt is then treated with one equivalent of H2SO4 in acetone yielding (+)-threo-epoxyaconitic acid (V), which in turn is resolved via its bis((S)-alpha-methyl-p-nitrobenzylamine salt) (VI). The salt is split using ethereal HCl or HCl in ethyl acetate yielding (+)-threo-epoxyaconitic acid (VII). Treatment of (VII) with HCl and NaCl in aqueous solution at 70 C furnishes (+)-threo-chlorocitric acid, which, after isolation from the reaction mixture, is purified by crystallization from acetonitrile.

Drug Information Express,Drug R&D,Chemical Database,Patent Search.
Copyright © 2006-2026 Drug Future. All rights reserved.Contact Us