【药物名称】Oximonam sodium, SQ-82629, SQ-82291
化学结构式(Chemical Structure):
参考文献No.3294
标题:beta-Lactam derivs.
作者:Breuer, H.; Straub, H.; Treuner, U.D. (Von Heyden)
来源:DE 3328047; GB 2125794
合成路线图解说明:

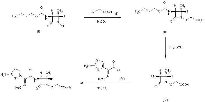
The condensation of 3-(tert butoxycarbonyl amino)-1-hydroxy-4-methylazetidin-2-one (I) with chloroacetic acid (II) by means of K2CO3 gives 2-(3-(tert butoxycarbonylamino)-4-methyl-2-oxoazetidin-1-yloxy]acetic acid (III), which is deprotected with trifluoroacetic acid yielding 2-(3-amino 4-methyl-2-oxoazetidin-1-yloxy)acetic acid (IV). Finally, this compound is condensed with 2-(2-amino-thiazol-4-yl)-2-(methoxyimino)acetyl chloride (V) by means of Na2CO3.

参考文献No.71733
标题:Oximonam sodium
作者:Casta馿r, J.; Prous, J.
来源:Drugs Fut 1986,11(9),759
合成路线图解说明:

The condensation of 3-(tert butoxycarbonyl amino)-1-hydroxy-4-methylazetidin-2-one (I) with chloroacetic acid (II) by means of K2CO3 gives 2-(3-(tert butoxycarbonylamino)-4-methyl-2-oxoazetidin-1-yloxy]acetic acid (III), which is deprotected with trifluoroacetic acid yielding 2-(3-amino 4-methyl-2-oxoazetidin-1-yloxy)acetic acid (IV). Finally, this compound is condensed with 2-(2-amino-thiazol-4-yl)-2-(methoxyimino)acetyl chloride (V) by means of Na2CO3.

参考文献No.555886
标题:Synthesis and biological activity of substituted [(3(S)-(acylamino)-2-oxo-1-azetidinyl]oxy]acetic acids. A new class of heteroatom-activated beta-lactam antibiotics
作者:Woulfe, S.R.; Miller, M.J.
来源:J Med Chem 1985,28(10),1447
合成路线图解说明:

The condensation of 3-(tert butoxycarbonyl amino)-1-hydroxy-4-methylazetidin-2-one (I) with chloroacetic acid (II) by means of K2CO3 gives 2-(3-(tert butoxycarbonylamino)-4-methyl-2-oxoazetidin-1-yloxy]acetic acid (III), which is deprotected with trifluoroacetic acid yielding 2-(3-amino 4-methyl-2-oxoazetidin-1-yloxy)acetic acid (IV). Finally, this compound is condensed with 2-(2-amino-thiazol-4-yl)-2-(methoxyimino)acetyl chloride (V) by means of Na2CO3.

参考文献No.605726
标题:[(2-Oxo-1-azetidinyl)oxy]acetic acids: A new class of synthetic monobactams
作者:Breuer, H.; Straub, H.; Treuner, U.D.; Drossard, J.M.; Hohn, H.; Lindner, K.R.
来源:J Antibiot 1985,38(6),813
合成路线图解说明:

The condensation of 3-(tert butoxycarbonyl amino)-1-hydroxy-4-methylazetidin-2-one (I) with chloroacetic acid (II) by means of K2CO3 gives 2-(3-(tert butoxycarbonylamino)-4-methyl-2-oxoazetidin-1-yloxy]acetic acid (III), which is deprotected with trifluoroacetic acid yielding 2-(3-amino 4-methyl-2-oxoazetidin-1-yloxy)acetic acid (IV). Finally, this compound is condensed with 2-(2-amino-thiazol-4-yl)-2-(methoxyimino)acetyl chloride (V) by means of Na2CO3.

Drug Information Express,Drug R&D,Chemical Database,Patent Search.
Copyright © 2006-2026 Drug Future. All rights reserved.Contact Us