【药物名称】Acyclic retinoid, Polyprenoic acid, NK-333, NIK-333, E-5166
化学结构式(Chemical Structure):
参考文献No.40774
标题:3,7,11,15-Tetramethyl-2,4,6,10,14-hexadecapentaenoic acid
作者:Yamatsu, I.; Tagaya, O.; Abe, S.; Abe, K.; Suzuki, K.; Yamada, K.; Suzuki, T.; Inai, Y.; Suzuki, Y. (Eisai Co., Ltd.)
来源:BE 888290; US 4917829
合成路线图解说明:

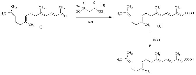
The Wittig condensation of 6,10,14-trimethylpentadeca-3,5,9,13-tetraen-2-one (I) with triethyl phosphonoacetate (II) by means of NaH in refluxing hexane gives ethyl 3,7,11,15-tetramethyl-2,4,6,10,14-hexadecapentaenoate (III), which is then hydrolyzed with KOH in hot isopropanol.

参考文献No.41888
标题:Method for treatment of inflammation
作者:Katoh, Y.; et al. (Eisai Co., Ltd.)
来源:EP 0107188; JP 59073516
合成路线图解说明:

The Wittig condensation of 6,10,14-trimethylpentadeca-3,5,9,13-tetraen-2-one (I) with triethyl phosphonoacetate (II) by means of NaH in refluxing hexane gives ethyl 3,7,11,15-tetramethyl-2,4,6,10,14-hexadecapentaenoate (III), which is then hydrolyzed with KOH in hot isopropanol.

参考文献No.49437
标题:E-5166
作者:Prous, J.; Casta馿r, J.
来源:Drugs Fut 1986,11(7),562
合成路线图解说明:

The Wittig condensation of 6,10,14-trimethylpentadeca-3,5,9,13-tetraen-2-one (I) with triethyl phosphonoacetate (II) by means of NaH in refluxing hexane gives ethyl 3,7,11,15-tetramethyl-2,4,6,10,14-hexadecapentaenoate (III), which is then hydrolyzed with KOH in hot isopropanol.

Drug Information Express,Drug R&D,Chemical Database,Patent Search.
Copyright © 2006-2026 Drug Future. All rights reserved.Contact Us