【药物名称】Isofloxythepin
化学结构式(Chemical Structure):
参考文献No.581
标题:3-Fluoro-10-piperazino-8-substituted 10,11-dihydrodibenzo(bf) thiepins and method for the preparation thereof
作者:Dlabac, A.; Miksik, F.; Pomykacek, J.; Jilek, J.; Sindelar, K.; Rajsner, M.; Langsadl, L.; Metysova, J.; Bartl, V.; Protiva, M. (SPOFA - United Pharmaceutical Works)
来源:BE 0872496; DE 2855703; FR 2412312; GB 2010843; JP 7992979; US 4243805
合成路线图解说明:

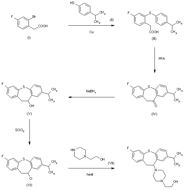
The reaction of 2-bromo-4-fluorophenylacetic acid (I) with 4-isopropytthiophenol (II) by means of Cu and K2CO3 in DMF at 100 C gives 4-fluoro-2-(4-isopropylphenylthio)phenylacetic acid (III), which is cyclized by treatment with polyphosphoric acid at 1 500 yielding 3-fluoro-8-isopropyldibenzo[b,f]-thiepin-10(11H) one (IV). The reduction of (IV) with NaBH4 in ethanol affords 3-fluoro-10-hydroxy-8-isopropyl-10,11-dihydrodibenzo[b,f]thiepin (V), which is treated with SOCl2 refluxing benzene to give 10-chloro-3-fluoro-8-isopropyl-10,11-dihydro-dibenzo[b,f]thiepin (VI). Finally, this compound is condensed with 1-(2-hydroxyethyl)piperazine (VII) in refluxing CHCl3.

参考文献No.66397
标题:Isofloxythepin
作者:Casta馿r, J.; Prous, J.
来源:Drugs Fut 1986,11(7),567
合成路线图解说明:

The reaction of 2-bromo-4-fluorophenylacetic acid (I) with 4-isopropytthiophenol (II) by means of Cu and K2CO3 in DMF at 100 C gives 4-fluoro-2-(4-isopropylphenylthio)phenylacetic acid (III), which is cyclized by treatment with polyphosphoric acid at 1 500 yielding 3-fluoro-8-isopropyldibenzo[b,f]-thiepin-10(11H) one (IV). The reduction of (IV) with NaBH4 in ethanol affords 3-fluoro-10-hydroxy-8-isopropyl-10,11-dihydrodibenzo[b,f]thiepin (V), which is treated with SOCl2 refluxing benzene to give 10-chloro-3-fluoro-8-isopropyl-10,11-dihydro-dibenzo[b,f]thiepin (VI). Finally, this compound is condensed with 1-(2-hydroxyethyl)piperazine (VII) in refluxing CHCl3.

参考文献No.700357
标题:Fluorinated tricyclic neuroleptics with prolonged action: 7-Fluoro-11-[4-(2-hydroxyethyl)piperazino]-2-isopropyl-10,11-dihydrodibenzo[b,f]thiepin
作者:Protiva, M.; et al.
来源:M Coll Czech Chem Commun 1986,51(Suppl. 2),698
合成路线图解说明:

The reaction of 2-bromo-4-fluorophenylacetic acid (I) with 4-isopropytthiophenol (II) by means of Cu and K2CO3 in DMF at 100 C gives 4-fluoro-2-(4-isopropylphenylthio)phenylacetic acid (III), which is cyclized by treatment with polyphosphoric acid at 1 500 yielding 3-fluoro-8-isopropyldibenzo[b,f]-thiepin-10(11H) one (IV). The reduction of (IV) with NaBH4 in ethanol affords 3-fluoro-10-hydroxy-8-isopropyl-10,11-dihydrodibenzo[b,f]thiepin (V), which is treated with SOCl2 refluxing benzene to give 10-chloro-3-fluoro-8-isopropyl-10,11-dihydro-dibenzo[b,f]thiepin (VI). Finally, this compound is condensed with 1-(2-hydroxyethyl)piperazine (VII) in refluxing CHCl3.

参考文献No.700358
标题:
作者:Jilek, J.; et al.
来源:M Coll Czech Chem Commun 1984,49(2),638
合成路线图解说明:

The reaction of 2-bromo-4-fluorophenylacetic acid (I) with 4-isopropytthiophenol (II) by means of Cu and K2CO3 in DMF at 100 C gives 4-fluoro-2-(4-isopropylphenylthio)phenylacetic acid (III), which is cyclized by treatment with polyphosphoric acid at 1 500 yielding 3-fluoro-8-isopropyldibenzo[b,f]-thiepin-10(11H) one (IV). The reduction of (IV) with NaBH4 in ethanol affords 3-fluoro-10-hydroxy-8-isopropyl-10,11-dihydrodibenzo[b,f]thiepin (V), which is treated with SOCl2 refluxing benzene to give 10-chloro-3-fluoro-8-isopropyl-10,11-dihydro-dibenzo[b,f]thiepin (VI). Finally, this compound is condensed with 1-(2-hydroxyethyl)piperazine (VII) in refluxing CHCl3.

Drug Information Express,Drug R&D,Chemical Database,Patent Search.
Copyright © 2006-2026 Drug Future. All rights reserved.Contact Us