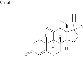
【药物名称】Etonogestrel, Org-3236
化学结构式(Chemical Structure):
参考文献No.71731
标题:ORG-3236
作者:Hillier, K.; Casta馿r, J.
来源:Drugs Fut 1978,3(9),664
合成路线图解说明:

The ketalization of 11alpha-hydroxy-18-methyl-DELTA4-estrene-3,17-dione (I) with ethylene glycol (A) by means of ethyl orthoformate and p-toluene sulfonic acid gives the diketal (II), which is oxidized with CrO3 in acetone yielding the ketone (III). The Wittig reaction of (III) with triphenylmethyl-phosphonium bromide (B) by means of NaH in benzene-DMSO affords 11-methylene-18-methyl-DELTA4-estren-3,17-dione diethyleneketal (IV), which is hydrolyzed with HCl in acetone to the diketone (V). The reaction of (V) with pyrrolidine (C) in methanol gives the N-pyrrolidinyl derivative (VI), which is condensed with potassium acetylide (D) in THF yielding 17alpha-ethynyl derivative (VII). Finally, this compound is hydrolyzed with acetic acid in methanol - water.

参考文献No.701034
标题:Novel 11,11-alkylidene steroids
作者:Van den Broek, A.J.
来源:DE 2361120; ES 421253; FR 2209577; GB 1455270; JP 50029548; US 3927046
合成路线图解说明:

The ketalization of 11alpha-hydroxy-18-methyl-DELTA4-estrene-3,17-dione (I) with ethylene glycol (A) by means of ethyl orthoformate and p-toluene sulfonic acid gives the diketal (II), which is oxidized with CrO3 in acetone yielding the ketone (III). The Wittig reaction of (III) with triphenylmethyl-phosphonium bromide (B) by means of NaH in benzene-DMSO affords 11-methylene-18-methyl-DELTA4-estren-3,17-dione diethyleneketal (IV), which is hydrolyzed with HCl in acetone to the diketone (V). The reaction of (V) with pyrrolidine (C) in methanol gives the N-pyrrolidinyl derivative (VI), which is condensed with potassium acetylide (D) in THF yielding 17alpha-ethynyl derivative (VII). Finally, this compound is hydrolyzed with acetic acid in methanol - water.

Drug Information Express,Drug R&D,Chemical Database,Patent Search.
Copyright © 2006-2026 Drug Future. All rights reserved.Contact Us