【药物名称】Acarbose, Bay-g-5421, Prandase, Glucor, Precose, Glucobay
化学结构式(Chemical Structure):
参考文献No.58295
标题:Valiolone, a method of preparing it, and its use to prepare acarbose and voglibose
作者:Lee, S.; Tornus, I.; Floss, H.G. (Bayer AG)
来源:WO 9950217
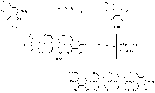
合成路线图解说明:

In a different strategy, the aminocyclitol valiolamine (XXII), isolated from fermentations of Streptomyces hygroscopicus, was used as the starting material. Oxidative deamination of (XXII) by means of 3,5-di-tert-butyl-1,2-benzoquinone (DBQ) furnished valiolone (XXIII). Then, reductive amination of ketone (XXIII) with the amino trisaccharide derivative (XXIV) in the presence of NaBH3CN led to the title compound.

参考文献No.703298
标题:Total synthesis of acarbose and adiposin-2
作者:Shibata, Y.; Ogawa, S.
来源:Carbohydr Res 1989,189309
合成路线图解说明:

The total synthesis of acarbose has been reported. Condensation 1,6-di-O-acetyl-2,3,4-tri-O-benzyl-D-glucopyranose (I) with the protected 1,6-anhydromaltose (II) in the presence of trimethylsilyl triflate gave trisaccharide (III) as a mixture of epimers at position 1". Hydrogenolysis of the desired isomer using Pd/C furnished the debenzylated trisaccharide (IV). After conversion of (IV) to the corresponding nona-acetate and chromatographic purification, deacetylation with sodium methoxide in MeOH afforded 1,6-anhydromaltotriose (V).

合成路线图解说明:

Monobenzylidenation of (V) was carried out by treatment with benzaldehyde dimethyl acetal and p-toluenesulfonic acid to give the 4,6-cyclic acetal (VI), which was further acetylated to the hepta-acetate (VII). Diol (VIII), obtained by acidic hydrolysis of the benzylidene acetal (VII), was treated with methanesulfonyl chloride in pyridine to furnish the bis-mesylate (IX). Displacement of the primary mesylate group of (IX) with NaI in refluxing acetonitrile produced the corresponding alkyl iodide, which was further reduced to the 6-deoxy derivative (X) by hydrogenolysis in the presence of Raney nickel.

合成路线图解说明:

Treatment of mesylate (X) with methanolic sodium methoxide produced, after reacetylation, the desired 3,4-epoxide (XI) along with the 2,3-epoxide byproduct (XII). The mixture of epoxides was then deacetylated with methanolic sodium methoxide, yielding epoxide (XIII) as the major product.

合成路线图解说明:

The protected valienamine (XVII) was prepared from the chiral azido cyclohexene derivative (XIV) by methanolysis of the acetate ester groups, followed by ketalization of the resultant azido tetraol (XV) using acetone dimethyl ketal, and finally reduction of the ketal-protected azide (XVI) with H2S in aqueous pyridine. Coupling of 4,7:5,6-di-O-isopropylidene-(+)-valienamine (XVII) with epoxide (XIII) at 120 C in a pressure vessel gave rise to a mixture of 3- and 4-substituted adducts, which upon acidic ketal hydrolysis provided the respective pseudo-tetrasaccharide derivatives (XVIII) and (XIX). After esterification with acetic anhydride and pyridine, the desired regioisomer (XX) was isolated by column chromatography.

合成路线图解说明:

Acetolysis of (XX) was carried out by using a mixture of Ac2O, HOAc and H2SO4 to yield the acarbose peracetate ester (XXI). The title compound was finally obtained by methanolysis of the ester groups of (XXI) in the presence of sodium methoxide.

参考文献No.703299
标题:Total synthesis of acarbose and adiposin-2
作者:Ogawa, S.; Shibata, Y.
来源:J Chem Soc Chem Commun 1988,(9),605
合成路线图解说明:

Monobenzylidenation of (V) was carried out by treatment with benzaldehyde dimethyl acetal and p-toluenesulfonic acid to give the 4,6-cyclic acetal (VI), which was further acetylated to the hepta-acetate (VII). Diol (VIII), obtained by acidic hydrolysis of the benzylidene acetal (VII), was treated with methanesulfonyl chloride in pyridine to furnish the bis-mesylate (IX). Displacement of the primary mesylate group of (IX) with NaI in refluxing acetonitrile produced the corresponding alkyl iodide, which was further reduced to the 6-deoxy derivative (X) by hydrogenolysis in the presence of Raney nickel.

合成路线图解说明:

Treatment of mesylate (X) with methanolic sodium methoxide produced, after reacetylation, the desired 3,4-epoxide (XI) along with the 2,3-epoxide byproduct (XII). The mixture of epoxides was then deacetylated with methanolic sodium methoxide, yielding epoxide (XIII) as the major product.

合成路线图解说明:

The protected valienamine (XVII) was prepared from the chiral azido cyclohexene derivative (XIV) by methanolysis of the acetate ester groups, followed by ketalization of the resultant azido tetraol (XV) using acetone dimethyl ketal, and finally reduction of the ketal-protected azide (XVI) with H2S in aqueous pyridine. Coupling of 4,7:5,6-di-O-isopropylidene-(+)-valienamine (XVII) with epoxide (XIII) at 120 C in a pressure vessel gave rise to a mixture of 3- and 4-substituted adducts, which upon acidic ketal hydrolysis provided the respective pseudo-tetrasaccharide derivatives (XVIII) and (XIX). After esterification with acetic anhydride and pyridine, the desired regioisomer (XX) was isolated by column chromatography.

合成路线图解说明:

Acetolysis of (XX) was carried out by using a mixture of Ac2O, HOAc and H2SO4 to yield the acarbose peracetate ester (XXI). The title compound was finally obtained by methanolysis of the ester groups of (XXI) in the presence of sodium methoxide.

Drug Information Express,Drug R&D,Chemical Database,Patent Search.
Copyright © 2006-2026 Drug Future. All rights reserved.Contact Us