【药物名称】BTM-1086(HCl), BTM-1042
化学结构式(Chemical Structure):
参考文献No.71730
标题:BTM-1042
作者:Hillier, K.; Casta馿r, J.
来源:Drugs Fut 1981,6(9),534
合成路线图解说明:

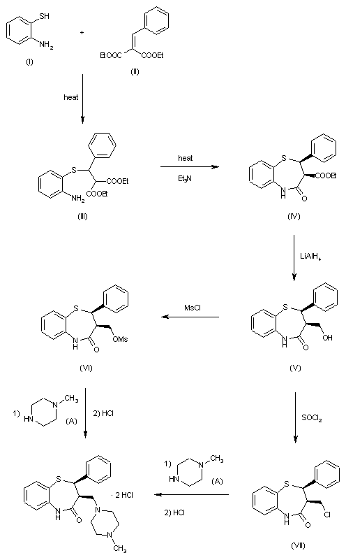
The reaction of 2-aminothiophenol (I) with diethyl benzylidenemalonate (II) by heating at 90 C gives diethyl 2-(2-aminophenylthio)-2-phenylethane-1,1-dicarboxylate (III), which is cyclized by heating at 180 C with triethylamine hydrochloride yielding 2,3-dihydro-3-ethoxycarbonyl-2-phenyl-1,5-benzothiazepin-4(5H)-one (IV). The reduction of (IV) with LiAlH4 in THF affords 2,3-dihydro-3-hydroxymethyl-2-phenyl-1,5-benzothiazepin-4(5H)-one (V), which by reaction with SOCl2 in refluxing benzene is converted into 2,3-dihydro-3-chloromethyl-2-phenyl-1,5-benzothiazepin-4(5H)-one (VII). Finally, this compound is treated with N-methylpiperazine at reflux temperature, and acidified with HCl. An alternative way is the reaction of (V) with methanesulfonyl chloride in pyridine affording 2,3-dihydro-3-methanesulfonyloxymethyl-2-phenyl-1,5-benzothiazepin-4(5H)-one (VI), which is then treated with N-methylpiperazine and HCl as before.

参考文献No.701495
标题:
作者:Izumi, K.; et al.
来源:FR 2416890
合成路线图解说明:

The reaction of 2-aminothiophenol (I) with diethyl benzylidenemalonate (II) by heating at 90 C gives diethyl 2-(2-aminophenylthio)-2-phenylethane-1,1-dicarboxylate (III), which is cyclized by heating at 180 C with triethylamine hydrochloride yielding 2,3-dihydro-3-ethoxycarbonyl-2-phenyl-1,5-benzothiazepin-4(5H)-one (IV). The reduction of (IV) with LiAlH4 in THF affords 2,3-dihydro-3-hydroxymethyl-2-phenyl-1,5-benzothiazepin-4(5H)-one (V), which by reaction with SOCl2 in refluxing benzene is converted into 2,3-dihydro-3-chloromethyl-2-phenyl-1,5-benzothiazepin-4(5H)-one (VII). Finally, this compound is treated with N-methylpiperazine at reflux temperature, and acidified with HCl. An alternative way is the reaction of (V) with methanesulfonyl chloride in pyridine affording 2,3-dihydro-3-methanesulfonyloxymethyl-2-phenyl-1,5-benzothiazepin-4(5H)-one (VI), which is then treated with N-methylpiperazine and HCl as before.

Drug Information Express,Drug R&D,Chemical Database,Patent Search.
Copyright © 2006-2026 Drug Future. All rights reserved.Contact Us