【药物名称】Bifluranol, BX-341
化学结构式(Chemical Structure):
参考文献No.71691
标题:Bifluranol
作者:Casta馿r, J.; Hopkins, S.J.
来源:Drugs Fut 1981,6(9),531
合成路线图解说明:

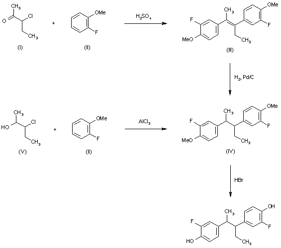
This compound can be prepared in two different ways: 1) The condensation of 3-chloro-2-pentanone (I) with 2-fluoroanisole (II) by means of concentrated H2SO4 and subsequent heating at 240 C gives 2,3-bis(3-fluoro-4-methoxyphenyl)-2-pentene (III), which is reduced with H2 over Pd/C in anhydrous AcOH to afford 2,3-bis(3-fluoro-4-methoxyphenyl)pentane (IV). Finally, this compound is demethylated by treatment with refluxing aqueous HBr. 2) The Friedel-Kraft's condensation of (II) with 3-chloro-2-pentanol by means of AlCl3 also gives (IV).

参考文献No.701376
标题:
作者:Turner, J.C.; Chan, R.P.-K.
来源:US 4051263
合成路线图解说明:

This compound can be prepared in two different ways: 1) The condensation of 3-chloro-2-pentanone (I) with 2-fluoroanisole (II) by means of concentrated H2SO4 and subsequent heating at 240 C gives 2,3-bis(3-fluoro-4-methoxyphenyl)-2-pentene (III), which is reduced with H2 over Pd/C in anhydrous AcOH to afford 2,3-bis(3-fluoro-4-methoxyphenyl)pentane (IV). Finally, this compound is demethylated by treatment with refluxing aqueous HBr. 2) The Friedel-Kraft's condensation of (II) with 3-chloro-2-pentanol by means of AlCl3 also gives (IV).

Drug Information Express,Drug R&D,Chemical Database,Patent Search.
Copyright © 2006-2026 Drug Future. All rights reserved.Contact Us