【药物名称】Epostane, Win-32729
化学结构式(Chemical Structure):
参考文献No.47471
标题:Steroid cyanoketones and intermediates
作者:Christiansen, R.G. (Sanofi-Synth閘abo)
来源:US 4160027
合成路线图解说明:

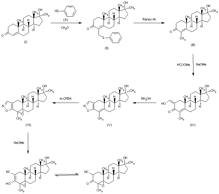
The reaction of 17beta-hydroxy-17-methylandrost-4-en-3-one (I) with thiophenol (A) and formaldehyde by means of triethylamine in refluxing ethanol gives 17beta-hydroxy-17-methy-4-(phenylthiomethyl)androst-4-en-3-one (II), which is desulfurized by treatment with Raney-Ni in water yielding 17beta-hydroxy-4,17-dimethylandrost-4-en-3-one (III). The reaction of (III) with methyl formate by means of sodium methoxide in methanol affords 17beta-hydroxy-4,17-dimethyl-2-hydroxymethyleneandrost-4-en-3-one (IV), which by cyclization with hydroxylamine in acetic acid-sodium acetate is converted into 4,17-dimethylandrosta-2,4-dieno[2,3-d]isoxazol-17beta-ol (V). The epoxidation of (V) with m-chloroperbenzoic acid in methylene chloride gives 4alpha,5alpha-epoxy-4,17-dimethylandrost-2-eno [2,3-d]isoxazol-17beta-ol (VI), which is finally isomerized by treatment with sodium methoxide in THF.

参考文献No.71701
标题:WIN-32,729
作者:Casta馿r, J.; Hillier, K.; Blancafort, P.; Serradell, M.N.
来源:Drugs Fut 1982,7(9),661
合成路线图解说明:

The reaction of 17beta-hydroxy-17-methylandrost-4-en-3-one (I) with thiophenol (A) and formaldehyde by means of triethylamine in refluxing ethanol gives 17beta-hydroxy-17-methy-4-(phenylthiomethyl)androst-4-en-3-one (II), which is desulfurized by treatment with Raney-Ni in water yielding 17beta-hydroxy-4,17-dimethylandrost-4-en-3-one (III). The reaction of (III) with methyl formate by means of sodium methoxide in methanol affords 17beta-hydroxy-4,17-dimethyl-2-hydroxymethyleneandrost-4-en-3-one (IV), which by cyclization with hydroxylamine in acetic acid-sodium acetate is converted into 4,17-dimethylandrosta-2,4-dieno[2,3-d]isoxazol-17beta-ol (V). The epoxidation of (V) with m-chloroperbenzoic acid in methylene chloride gives 4alpha,5alpha-epoxy-4,17-dimethylandrost-2-eno [2,3-d]isoxazol-17beta-ol (VI), which is finally isomerized by treatment with sodium methoxide in THF.

Drug Information Express,Drug R&D,Chemical Database,Patent Search.
Copyright © 2006-2026 Drug Future. All rights reserved.Contact Us