【药物名称】Enprofylline, D-4028
化学结构式(Chemical Structure):
参考文献No.47465
标题:Method and pharmaceutical preparation for treating chronic obstructive airway disease and cardiac disease, and intermediates for the preparation of therapeutically active xanthine derivs.
作者:Kjellin, P.G.; Persson, C.G.A. (Draco L鋕emedel AB)
来源:EP 0011609
合成路线图解说明:

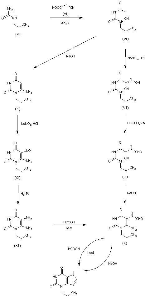
The reaction of N-propylurea (V) with cyanacetic acid (VI) in hot acetic anhydride gives N-propyl-N'-cyanacetylurea (VII), which is nitrosated with NaNO2 - HCl yielding the isonitroso derivative (VIII). The reduction and simultaneous formylation of (VIII) with Zn in formic acid affords the formylamino compound (IX), which is cyclized by treatment with NaOH to give 6-amino-5-formylamino-1-propylpyrimidine-2,4-dione (X). Finally, this compound is cyclized by treatment with refluxing formic acid. The cyclization of (VII) with NaOH in hot water gives 6-amino-1-propylpyrimidine-2,4-dione (XI), which is nitrosated with NaNO2 - HCl as usual yielding 6-amino-nitroso-1-propylpyrimidine-2,4-dione (XII). The reduction of (XII) with H2 over Pt in DMF affords 5,6-diamino-1-propylpyrimidine-2,4-dione (XIII), which is finally formylated with refluxing formic acid to (X). This compound can also be finally cyclized by treatment with NaOH in refluxing water.

参考文献No.71699
标题:Enprofylline
作者:Sneddon, J.M.; Casta馿r, J.; Blancafort, P.; Serradell, M.N.
来源:Drugs Fut 1982,7(9),623
合成路线图解说明:

The reaction of 5-amino-4-cyanooxazole (I) with tetramethyl orthocarbonate (II) in refluxing acetic anhydride gives 4-cyano-5-(diethoxymethyleneamino)oxazole (III), which is cyclized with propylamine (A) in refluxing ethanol yielding 5-methoxy-6-propyl-7(6H)-iminooxazolo[5,4-d]pyrimidine (IV), which is finally hydrolyzed and rearranged by treatment with NaOH in water at 100 C or with formamide at 180 C.

合成路线图解说明:

The reaction of N-propylurea (V) with cyanacetic acid (VI) in hot acetic anhydride gives N-propyl-N'-cyanacetylurea (VII), which is nitrosated with NaNO2 - HCl yielding the isonitroso derivative (VIII). The reduction and simultaneous formylation of (VIII) with Zn in formic acid affords the formylamino compound (IX), which is cyclized by treatment with NaOH to give 6-amino-5-formylamino-1-propylpyrimidine-2,4-dione (X). Finally, this compound is cyclized by treatment with refluxing formic acid. The cyclization of (VII) with NaOH in hot water gives 6-amino-1-propylpyrimidine-2,4-dione (XI), which is nitrosated with NaNO2 - HCl as usual yielding 6-amino-nitroso-1-propylpyrimidine-2,4-dione (XII). The reduction of (XII) with H2 over Pt in DMF affords 5,6-diamino-1-propylpyrimidine-2,4-dione (XIII), which is finally formylated with refluxing formic acid to (X). This compound can also be finally cyclized by treatment with NaOH in refluxing water.

参考文献No.800418
标题:Oxazolopyrimidines. VI. Formation of 3-substituted xanthines via 7-(6H)-iminooxazolopyrimidines
作者:Ohtsuka, Y.
来源:Bull Chem Soc Jpn 1973,46(2),506-509
合成路线图解说明:

The reaction of 5-amino-4-cyanooxazole (I) with tetramethyl orthocarbonate (II) in refluxing acetic anhydride gives 4-cyano-5-(diethoxymethyleneamino)oxazole (III), which is cyclized with propylamine (A) in refluxing ethanol yielding 5-methoxy-6-propyl-7(6H)-iminooxazolo[5,4-d]pyrimidine (IV), which is finally hydrolyzed and rearranged by treatment with NaOH in water at 100 C or with formamide at 180 C.

合成路线图解说明:

The reaction of N-propylurea (V) with cyanacetic acid (VI) in hot acetic anhydride gives N-propyl-N'-cyanacetylurea (VII), which is nitrosated with NaNO2 - HCl yielding the isonitroso derivative (VIII). The reduction and simultaneous formylation of (VIII) with Zn in formic acid affords the formylamino compound (IX), which is cyclized by treatment with NaOH to give 6-amino-5-formylamino-1-propylpyrimidine-2,4-dione (X). Finally, this compound is cyclized by treatment with refluxing formic acid. The cyclization of (VII) with NaOH in hot water gives 6-amino-1-propylpyrimidine-2,4-dione (XI), which is nitrosated with NaNO2 - HCl as usual yielding 6-amino-nitroso-1-propylpyrimidine-2,4-dione (XII). The reduction of (XII) with H2 over Pt in DMF affords 5,6-diamino-1-propylpyrimidine-2,4-dione (XIII), which is finally formylated with refluxing formic acid to (X). This compound can also be finally cyclized by treatment with NaOH in refluxing water.

Drug Information Express,Drug R&D,Chemical Database,Patent Search.
Copyright © 2006-2026 Drug Future. All rights reserved.Contact Us