【药物名称】Satranidazole, Go-10213, C-10213-Go
化学结构式(Chemical Structure):
参考文献No.71703
标题:Satranidazole
作者:Arya, V.P.
来源:Drugs Fut 1983,8(9),797
合成路线图解说明:

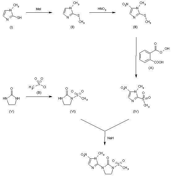
C-10213-Go has been synthesized from 1-methyl-2-mercaptoimidazole (I). When (I) is methylated with methyl iodide it gives the corresponding thiomethyl derivative (II). Nitration of (II) yields the nitro derivative (III). Oxidation of (III) with monoperphthalic acid gives the sulfone (IV). Condensation of (IV) with 1-methanesulfonyl-2-imidazolidinone (VI) in the presence of sodium hydride affords C-10213-Go.

Drug Information Express,Drug R&D,Chemical Database,Patent Search.
Copyright © 2006-2026 Drug Future. All rights reserved.Contact Us