【药物名称】Fenticonazole nitrate, Rec-151476B free base, Rec-151476, Lomexin
化学结构式(Chemical Structure):
参考文献No.46330
标题:Substituted dibenzyl ethers and parmaceutical compositions containing said ethers for the treatment of infections
作者:Nardi, D.; Massarani, E.; Tajana, A.; Veronese, M. (Recordati Industria Chimica e Farmaceutica SpA)
来源:DE 2917244; FR 2426047; GB 2025395; US 4221803
合成路线图解说明:

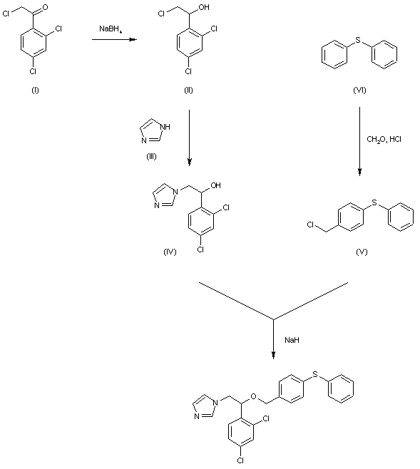
The reduction of 2,4-dichlorophenacyl chloride with NaBH4 gives 1-(2,4-dichlorophenyl)-2-chloroethanol (II), which is condensed with imidazole (III) to yield 1-(2,4-dichlorophenyl)-2-(N-imidazolyl)ethanol (IV). Finally, this compound is condensed with 4-(phenylthio)benzyl chloride (V) [prepared by chloromethylation of diphenyl sulfide (VI) with formaldehyde and HCl] using NaH as condensing agent.

参考文献No.49431
标题:Fenticonazole Nitrate
作者:Blancafort, P.; Casta馿r, J.; Serradell, M.N.
来源:Drugs Fut 1983,8(9),767
合成路线图解说明:

The reduction of 2,4-dichlorophenacyl chloride with NaBH4 gives 1-(2,4-dichlorophenyl)-2-chloroethanol (II), which is condensed with imidazole (III) to yield 1-(2,4-dichlorophenyl)-2-(N-imidazolyl)ethanol (IV). Finally, this compound is condensed with 4-(phenylthio)benzyl chloride (V) [prepared by chloromethylation of diphenyl sulfide (VI) with formaldehyde and HCl] using NaH as condensing agent.

参考文献No.604477
标题:Physico-chemical, structural and analytical studies on fenticonazole, a new drug with antimycotic properties
作者:Cova, A.; Tajana, A.; Nardi, D.; Cappelleti, R.; Sibilia, C.
来源:Arzneim-Forsch Drug Res 1981,31(12),2127
合成路线图解说明:

The reduction of 2,4-dichlorophenacyl chloride with NaBH4 gives 1-(2,4-dichlorophenyl)-2-chloroethanol (II), which is condensed with imidazole (III) to yield 1-(2,4-dichlorophenyl)-2-(N-imidazolyl)ethanol (IV). Finally, this compound is condensed with 4-(phenylthio)benzyl chloride (V) [prepared by chloromethylation of diphenyl sulfide (VI) with formaldehyde and HCl] using NaH as condensing agent.

Drug Information Express,Drug R&D,Chemical Database,Patent Search.
Copyright © 2006-2026 Drug Future. All rights reserved.Contact Us